Меня зовут Кирилл Колодяжный, я разрабатываю системы хранения данных в YADRO. Это третья, заключительная часть моего цикла о паттернах C++, которые я применяю для решения задач машинного обучения, а вы можете использовать и в другой работе. В этой статье поговорим, как построить вычислительные графы и реализовать обратное распространение ошибки без сложных иерархий классов, с помощью лямбда-функций и стандартной библиотеки.
В конце материала я сравнил свой подход с вариантом PyTorch и оставил ссылки на полезные материалы, в том числе на предыдущие части цикла.
Недавно в рассылке для разработчиков на С++ я рассказал об еще одной полезной практике — проведении код-ревью по правилам от Google. В этом же выпуске особенностями проверки кода поделились мои коллеги из команды разработки ПО для KORNFELD и телекома. Оставьте email-адрес на странице подписки, чтобы получить это письмо.
Зачем разработчикам вычислительный граф
Когда мы обучаем нейросеть, входные данные проходят через десятки слоев, каждый из которых применяет свои веса, активации, нормализацию. В конце мы получаем решение, сравниваем его с правильным ответом и затем разбираемся, как изменить каждый параметр сети, чтобы ошибка уменьшилась.

В математике это называется вычислением производной функции потерь по каждому весу. Но если в сети есть хотя бы 10 слоев, аналитическая формула производной превращается в чудовище, которое невозможно ни описать, ни отладить.
Хорошая новость: правило цепочки (chain rule) или правило дифференцирования сложной функции из матанализа позволяет разбить эту гигантскую производную на маленькие кусочки — производные элементарных операций (сложение, умножение, сигмоида).
Плохая новость: нужно как-то запомнить, в каком порядке применялись операции, чтобы потом пройти назад и собрать все эти кусочки вместе.
Именно для этого нам пригодится концепция вычислительного графа.
Вычислительный граф — это способ представить программу как направленный ациклический граф (DAG), в котором:
-
вершины — это операции (сложение, умножение, матричное умножение);
-
ребра — это связи, по которым передаются данные между операциями.
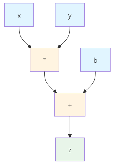
Вот как выглядит граф для простого выражения z = x * y + b:
Во время прямого прохода (forward pass) мы вычисляем значения снизу вверх: сначала x * y, потом результат плюс b. Во время обратного прохода (backward pass) идем сверху вниз и вычисляем градиенты: от z к x, y и b.
Класс Variable: операция и данные
Давайте перейдем к коду. Нам нужен класс, который будет представлять узел графа.
Класс Variable — это не только хранилище данных, но и контейнер для операции для обратного прохода. В нашей реализации мы также храним результат прямого прохода и градиент, но это скорее деталь архитектуры, а не обязательное свойство узла вычислительного графа. В других фреймворках данные и операции могут быть разделены.
class Variable {
public:
Variable(const Tensor& data,
const std::vector<Variable>& children,
bool requires_grad = false);
void backward();
private:
// Результат операции (данные, полученные после вычисления)
Tensor data_;
// Градиент — накапливаемая производная
Tensor grad_;
// Аргументы операции (предки в графе прямого прохода)
std::vector<Variable> children_;
// Функция обратного прохода для этой конкретной операции
std::function<void(const Tensor&)> backward_fn_;
// Флаг: нужно ли вычислять градиент для этого узла
bool requires_grad_{true};
};
-
data_— результат операции. Например, если это узел умноженияx * y, то здесь будет произведение. -
grad_— градиент, который приходит с предыдущего шага обратного прохода. Изначально нулевой, накапливается при вызовеbackward(). -
children_— входные аргументы операции. В примереz = x * yу узлаzбудет два аргумента:xиy. При прямом проходе это на самом деле предки данного узла, но на обратном их роль меняется. -
backward_fn_— функция, которая знает, как вычислить градиенты для этой операции. -
requires_grad_— оптимизация: не для всех узлов нужно вычислять градиенты (например, константы можно пропускать).
На самом деле далее я подразумеваю, что описанная функциональность и поля класса содержаться в объекте класса типа VariableImpl, а объекты типа Varibale хранят только указатели на них, что дает возможность копировать их.
Строим граф через перегрузку операторов
Теперь интересный момент: мы хотим, чтобы обычный код вида z = x * y + b автоматически строил граф. Для этого перегружаем операторы:
Variable operator*(const Variable& a, const Variable& b) {
// 1. Прямой проход: вычисляем результат
Variable result(a.data_ * b.data_, {a, b},
a.requires_grad_ || b.requires_grad_);
// 2. Инициализируем функцию обратного прохода
result.backward_fn_ = [a = а, b = b](const Tensor& out_grad) mutable {
// Правило произведения: d(a*b)/da = b, d(a*b)/db = a
if (a->requires_grad_)
a->grad_ += b->data_ * out_grad;
if (b->requires_grad_)
b->grad_ += a->data_ * out_grad;
};
return result;
}
-
Создаем новый узел
resultс данными получившимися в результате операцииa.data_ *b.data_и детьми(или предками){a, b}. -
Записываем в
backward_fn_лямбду, которая знает правило дифференцирования для умножения. -
Через capture list
[a = ..., b = ...]захватываем указатели на аргументы. Таким неявным способом создаются ребра графа. Это критически важно: когда позже мы будем вызыватьbackward(), нам понадобятся исходные значенияa.data_иb.data_для вычисления градиентов. -
mutableпозволяет изменять захваченные объекты (в данном случае — добавлять кgrad_).
Аналогично реализуются +, -, matmul, sigmoid и другие операции. Каждая операция — содержит свою лямбду с правилом дифференцирования.
Обратный проход: топологическая сортировка
Теперь у нас есть граф. Как его пройти в обратном порядке?
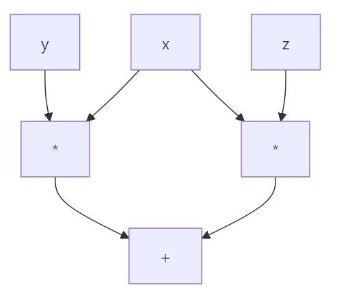
Проблема в том, что граф — это нелинейная цепочка. Один узел может быть использован в нескольких местах. Например:

Здесь x участвует в двух умножениях. При обратном проходе градиенты от обоих путей должны сложиться в x.grad_.
Решение — топологическая сортировка. Мы обходим граф в глубину (DFS), запоминаем порядок посещения, а потом разворачиваем его.
void build_topo_order(const Variable& node,
std::vector<Variable>& topo,
std::set<Variable>& visited) {
if (!visited.contains(node)) {
visited.insert(node);
for (auto& child : node->children_) {
build_topo_order(child.get(), topo, visited);
}
topo.push_back(node);
}
void Variable::backward() {
if (!requires_grad_) return;
// 1. Топологическая сортировка (DFS)
std::vector<Variable> topo_ordered;
std::set<Variable> visited;
build_topo_order(*this, topo_ordered, visited);
// 2. Разворачиваем порядок (от листьев к корню)
std::reverse(topo_ordered.begin(), topo_ordered.end());
// 3. Инициализируем градиент корня как 1
grad_ = Tensor::ones_like(data_);
// 4. Последовательно вызываем backward_fn_ для каждого узла
for (auto& v : topo_ordered) {
if (v->requires_grad_ && v->grad_.defined()) {
v->backward_fn_(v->grad_);
}
}
}
После этого все градиенты накапливаются в полях grad_, в листьях графа.
Обновляем веса: градиентный спуск
Финальный шаг — использовать градиенты для обновления параметров, то есть для обучения. Но откуда берутся эти параметры? Давайте посмотрим на примере простого линейного слоя:
class Linear {
public:
Linear(size_t in_features, size_t out_features) {
// Инициализируем веса случайными значениями
// requires_grad = true, потому что веса нужно обучать
weight_ = Variable(
Tensor::randn({in_features, out_features}),
{},
true // <-- этот параметр нужно дифференцировать
);
// Инициализируем смещение (bias) нулями
// тоже требует градиента
bias_ = Variable(
Tensor::zeros({out_features}),
{},
true // <-- bias тоже обучаемый параметр
);
}
// Прямой проход: y = x @ W + b
Variable forward(const Variable& input) {
return matmul(input, weight_) + bias_;
}
// Возвращаем список всех обучаемых параметров слоя
std::vector<Variable> parameters() {
return {weight_, bias_};
}
private:
Variable weight_; // Веса слоя
Variable bias_; // Смещение
};
-
weight_— матрица весов размера[in_features × out_features]. Это основной обучаемый параметр, который сеть подстраивает в процессе обучения. -
bias_— вектор смещения размера[out_features]. Добавляется к результату умножения, позволяет сдвигать функцию активации. -
requires_grad = true— критически важный флаг. Только для этих узлов будет вычисляться градиент при вызовеbackward(). -
parameters()— метод, который возвращает ссылки на все обучаемые параметры. Именно эти переменные мы будем обновлять в цикле градиентного спуска.Собираем все вместе: полный цикл обучения
Теперь разберемся, как использовать
Linearв реальном цикле обучения:
// Создаём слой: 784 входа (например, пиксели изображения), 10 выходов (классы)
Linear layer(784, 10);
// Собираем все параметры сети в один список
// В реальной сети может быть много слоёв, поэтому собираем от всех
std::vector<Variable> parameters = layer.parameters();
float learning_rate = 0.01f;
for (size_t epoch = 0; epoch < 100; ++epoch) {
// 1. Прямой проход: получаем предсказания
Variable predictions = layer.forward(input_data);
// 2. Вычисляем функцию потерь (например, MSE)
Variable loss = mse_loss(predictions, target_labels);
// 3. Обратный проход: вычисляем градиенты всех параметров
loss.backward();
// 4. Обновляем веса через градиентный спуск
for (auto& param : parameters) {
if (param->requires_grad() && param->grad().defined()) {
// Основное правило обновления: w = w - lr * grad
param->data() -= param->grad() * learning_rate;
// Сбрасываем градиент для следующей итерации
// Иначе градиенты будут накапливаться между эпохами
param->grad().zero_();
}
}
}
Ключевые моменты:
-
layer.parameters()— возвращает параметры. В нашем случае этоweight_иbias_из классаLinear. -
loss.backward()— после этого вызова в поляхgrad_всех параметров (весов и смещений) накоплены корректные градиенты. -
param->data() -= param->grad() * learning_rate— градиентный спуск: двигает каждый параметр в направлении, противоположном градиенту, чтобы уменьшить функцию потерь. -
param->grad().zero_()— обязательный сброс градиентов. Если этого не сделать, градиенты будут суммироваться между итерациями, что приведёт к некорректному обучению.
Почему мы не обновляем градиенты прямо в backward_fn_?
Тут происходит разделение ответственности: backward() только вычисляет градиенты и отвечает на вопрос «в какую сторону менять параметры?». Обновление весов — это отдельный шаг, который отвечает на вопрос, насколько сильно менять. Это разделение позволяет:
-
использовать разные оптимизаторы (SGD, Adam, RMSprop) без изменения логики обратного прохода,
-
легко добавлять регуляризацию (L2, L1) на этапе обновления весов,
-
делать градиентный клиппинг (ограничение градиентов) перед обновлением.
Так и работает градиентный спуск: после вычисления всех градиентов мы обновляем параметры сети, чтобы минимизировать функцию потерь.
А зачем каждый раз создавать новую лямбда-функцию? Не проще ли сделать иерархию классов, как в промышленных фреймворках? Давайте посмотрим, как это реализовано в PyTorch на уровне C++.
В основе autograd PyTorch лежит система классов, определенных в torch/csrc/autograd/. Основные компоненты рассмотрим ниже.
Класс Node, базовый класс для всех операций:
struct TORCH_API Node : std::enable_shared_from_this<Node> {
// ... другие поля и методы
// Оператор вызова функции — это точка входа в узел
variable_list operator()(variable_list&& inputs) {
// Здесь происходит логика вызова apply() с дополнительной обработкой
// (проверки, трассировка, обработка ошибок)
return apply(std::move(inputs));
}
protected:
// Чисто виртуальный метод, который переопределяется для каждой операции
// Именно здесь реализуется логика вычисления градиентов
virtual variable_list apply(variable_list&& inputs) = 0;
// Список рёбер для связи с другими узлами
// Каждое ребро указывает на следующий узел в графе
edge_list next_edges_;
// ... другие поля
};
-
operator()— это точка входа, через которую вызывается узел. Когда движокautogradобходит граф, он вызывает этот оператор для каждого узла. -
apply()— виртуальный метод, который переопределяется в каждом конкретном классе операции (например, MulBackward0). Именно здесь содержится логика вычисления градиентов. -
next_edges_— список ребер, которые связывают этот узел с другими узлами графа. Через эти ребра происходит обход графа при обратном проходе.
Структура Edge, которая связывает узлы между собой:
struct Edge {
// Указатель на узел (функцию), к которой ведёт это ребро
std::shared_ptr<Node> function;
// Номер входа функции — идентифицирует конкретный вход среди нескольких
uint32_t input_nr;
};
-
function— указатель на узел графа. Это позволяет ребрам хранить ссылки на другие операции. -
input_nr— номер входа функции. Если у узла несколько входов (например, умножение принимает два аргумента), это поле указывает, к какому именно входу относится данное ребро.
Класс AutogradMeta, метаданные тензора:
struct TORCH_API AutogradMeta : public c10::AutogradMetaInterface {
// Накопленный градиент для этого тензора
Variable grad_;
// Указатель на функцию градиента — узел, который вычислит градиент
// для этой операции при обратном проходе
std::shared_ptr<Node> grad_fn_;
// Аккумулятор градиентов — используется, когда тензор участвует
// в нескольких операциях и нужно собрать градиенты со всех путей
std::weak_ptr<Node> grad_accumulator_;
// ... другие поля
};
-
grad_— здесь накапливается градиент для данного тензора. При каждом вызовеbackward()градиенты суммируются в этом поле. -
grad_fn_— указатель на узел графа, который отвечает за вычисление градиента этой операции. Именно через этот указатель движок autograd знает, какую функцию вызвать при обратном проходе. -
grad_accumulator_— специальный механизм для случая, когда тензор используется в нескольких операциях. Например, если один и тот же тензор участвует в двух разных путях вычислений, градиенты от обоих путей нужно сложить.
Объекты этого класса создаются, например, так:
Tensor at::empty(IntArrayRef size, const TensorOptions& options) {
// Создаём базовый тензор с данными
Tensor tensor = detail::empty_aten_default(size, options);
// Если требуется градиент — создаём AutogradMeta
if (options.requires_grad()) {
// Выделяем метаданные для autograd
// Это происходит только если requires_grad = true
tensor.mutable_autograd_meta() =
c10::make_intrusive<AutogradMeta>();
}
return tensor;
}
Конкретная операция в PyTorch, пример умножения тензоров:
// Упрощённая версия
Tensor mul(const Tensor& self, const Tensor& other) {
// 1. Вычисляем результат прямого прохода
Tensor result = at::mul(self, other);
// 2. Проверяем, нужно ли строить граф
if (self.requires_grad() || other.requires_grad()) {
// 3. Создаём узел обратного прохода
// Сохраняем self и other для использования в backward()
auto grad_fn = std::make_shared<MulBackward0>(self, other);
// 4. Собираем рёбра от входных тензоров
grad_fn->set_next_edges(collect_next_edges({self, other}));
// 5. Связываем результат с узлом графа
// Теперь result.grad_fn() указывает на MulBackward0
set_history(result, grad_fn, 0);
}
return result;
}
На самом деле эта и другие функции в PyTorch в основном создаются автоматической кодогенерацией при сборке библиотеки. Существует специальный набор правил в формате YAML.
Связывание результата с узлом через set_history:
inline void set_history(
Tensor& self,
std::shared_ptr<Node> grad_fn,
uint32_t output_nr = 0) {
// Получаем или создаём AutogradMeta для тензора
auto* meta = self.mutable_autograd_meta();
// Устанавливаем указатель на функцию градиента
// Это связывает тензор с узлом графа
meta->set_grad_fn(std::move(grad_fn));
// Устанавливает номер выхода (если у узла несколько выходов)
meta->set_output_nr(output_nr);
}
-
mutable_autograd_meta()— гарантирует, что у тензора есть AutogradMeta. Если нет — создает. -
set_grad_fn()— устанавливает связь между тензором и узлом графа. Теперь при вызове backward() движок знает, какую функцию для расчета градиента вызывать для этого тензора. -
output_nr— номер выхода узла. Если операция возвращает несколько тензоров (например,torch.topk), каждый выход имеет свой номер.А вот так реализуется функция для расчета градиента:
variable_list MulBackward0::apply(variable_list&& grads) {
...
// Создаём список для хранения градиентов по входам
// Размер списка равен количеству входов, для которых нужно вычислить градиент
variable_list grad_inputs(gen.size());
// Извлекаем градиент с предыдущего шага обратного прохода
// grads[0] — это производная функции потерь по выходу этой операции
auto& grad = grads[0];
...
// Проверяем, определён ли хотя бы один градиент во входном списке
// Это нужно для корректной обработки случаев, когда некоторые
// градиенты могут быть неопределены
bool any_grad_defined = any_variable_defined(grads);
// Проверяем, нужно ли вычислять градиент для первого аргумента (self)
if (should_compute_output({ self_ix })) {
// Вычисляем градиент по первому аргументу: d(a*b)/da = b * grad
// Если градиент определён, умножаем grad на первый аргумент (self)
// Умножаем grad на второй аргумент (other)
auto grad_result = any_grad_defined ?
(mul_tensor_backward(grad, other, self_scalar_type)) : Tensor();
// mul_tensor_backward — функция для обратного умножения тензоров
// Копируем вычисленный градиент в соответствующую позицию
copy_range(grad_inputs, self_ix, grad_result);
}
// Повторяем для вторго аргумента
...
// Возвращаем список вычисленных градиентов по всем входам операции
// Этот список будет передан предыдущим узлам графа
return grad_inputs;
}
Как это работает вместе:
-
При создании тензора с
requires_grad=Trueсоздаётся объектAutogradMeta. -
При вызове операции (например, умножения) создаётся новый узел
MulBackward0, наследующийся отNode. -
Функция
collect_next_edges()собираёт ребра (Edge) от входных тензоров. -
Метод
set_history()связывает результат операции с созданным узлом. -
При обратном проходе движок autograd обходит граф через
Edgeи вызываетapply()для каждого узла.
Сравнение подходов
PyTorch (иерархия классов)
Преимущества:
-
Явная структура: каждая операция — отдельный класс с четким интерфейсом.
-
Возможность переиспользования классов операций.
-
Поддержка сложных оптимизаций (fusion, pruning графа).
Недостатки:
-
Требует написания двух методов (forward и backward) для каждой операции.
-
Отдельный механизм для сохранения промежуточных значений (self_.unpack(), other_.unpack()).
-
Более сложный код для добавления новых операций.
-
Много шаблонного кода (генерация индексов, проверка should_compute_output).
Наш подход (лямбды + std::function)
Преимущества:
-
Все в одном месте: forward и backward записаны рядом в лямбде.
-
Не нужно создавать иерархии классов и наследоваться.
-
Гибкость: можно захватить любое состояние через capture list.
-
Проще для понимания и прототипирования.
-
Меньше шаблонного кода.
Недостатки:
-
Создается новая лямбда для каждой операции (хотя компилятор может это оптимизировать).
-
Невозможно анализировать граф для экспорта и оптимизаций (например, для автоматического слияния операций).
Давайте разберемся, достаточно ли хорошую производительность обеспечивает наш подход. Для этого рассмотрим потенциальные проблемы.
Проблема 1: вы создаете новую лямбда-функцию для каждого узла графа. Это же накладные расходы!
Ответ: во-первых, Variable и Tensor у нас реализованы по паттерну pImpl (или используют shared_ptr), поэтому «копирование» узла — это копирование указателя, а не всех данных. Во-вторых, лямбда — это просто объект-функтор, и современный компилятор C++ может его оптимизировать (inline, devirtualization).
Проблема 2: а зачем хранить backward_fn_ внутри узла? Нельзя ли вынести в отдельную таблицу?
Ответ: можно, но тогда придется отдельно хранить состояние для каждой операции (например, значения a.data_ и b.data_ для умножения). Лямбда с захватом — это естественный способ инкапсулировать и код, и данные вместе. В PyTorch для этого используется AutogradMeta и механизм save_for_backward, что требует дополнительной инфраструктуры .
Проблема 3: а как же производительность по сравнению с PyTorch?
Ответ: PyTorch использует отдельную иерархию классов для узлов и ребер графа, что дает больше контроля над памятью и позволяет применять сложные оптимизации. Но для образовательных целей или легковесного фреймворка наш подход вполне адекватен. Если нужно больше производительности — можно добавить пул объектов и избежать лишних аллокаций. Но это уже оптимизации другого порядка, которые стоит применять после получения результатов нагрузочного тестирования и профилирования.
Что дальше: тензорные компиляторы и оптимизация графов
Наш подход с явным построением графа — это только начало. В современных фреймворках вычислительные графы не просто строятся, но и оптимизируются, компилируются и упрощаются с помощью специальных компиляторов. Давайте разберем основные направления.
XLA (Accelerated Linear Algebra)
XLA — это компилятор линейной алгебры, разработанный Google для TensorFlow, а теперь используемый также в JAX и PyTorch.
Как это работает:
-
Захват графа: XLA получает вычислительный граф (в нашем случае — это последовательность операций
Variable). -
Оптимизации:
-
Operator Fusion: несколько операций объединяются в одну. Например, вместо отдельных ядер для
a * b + cсоздается одно ядро, которое делает все сразу. Это уменьшает накладные расходы на запуск ядер и чтение/запись памяти. -
Constant Folding: константные выражения вычисляются на этапе компиляции, а не во время выполнения.
-
Dead Code Elimination: удаляются операции, результаты которых нигде не используются.
-
Common Subexpression Elimination: если одно и то же выражение используют несколько раз, оно вычисляется один раз и кешируется.
-
-
Компиляция: оптимизированный граф компилируется в машинный код для конкретной архитектуры (CPU, GPU, TPU).
-
Выполнение: скомпилированный код выполняется напрямую, без интерпретации графа.
PyTorch 2.0 и Torch Dynamo
В PyTorch 2.0 появился Torch Dynamo — компилятор, который захватывает граф динамически во время выполнения.
Ключевое отличие от нашего подхода:
Наш код строит граф явно через перегрузку операторов. Dynamo работает иначе:
-
Bytecode Analysis: Dynamo анализирует байт-код Python функции во время выполнения.
-
Graph Capture: когда функция вызывается, Dynamo «перехватывает» операции и строит граф (через
torch.fx). -
Backend Compilation: граф передается в бэкенд (например,
inductor,XLA,TensorRT) для оптимизации и компиляции. -
Caching: скомпилированный граф кэшируется для повторного использования.
Torch Inductor — это компилятор по умолчанию в PyTorch 2.0, который генерирует оптимизированный код для GPU через Triton (язык для написания GPU-ядер).
JAX: функциональный подход к графам
JAX — это фреймворк Google, который использует функциональное программирование и XLA для компиляции.
Основные принципы:
-
Pure Functions: функции в JAX должны быть чистыми (без побочных эффектов). Это упрощает анализ и оптимизацию графа.
-
Functional Transforms: JAX предоставляет трансформеры:
-
jax.grad— автоматическое дифференцирование (аналог нашегоbackward()). -
jax.jit— компиляция через XLA. -
jax.vmap— векторизация (автоматическийbatching). -
jax.pmap— параллелизация на нескольких устройствах.
-
-
Static Graph: после примененияjitграф становится статическим (не меняется между вызовами), что позволяет проводить агрессивные оптимизации
Сравнение подходов к графам
|
Подход |
Когда строится граф |
Оптимизации |
Компиляция |
|---|---|---|---|
|
Наш подход |
Во время выполнения (eager mode) |
Нет |
Нет |
|
PyTorch (eager) |
Во время выполнения (eager mode) |
Частично |
Нет |
|
PyTorch 2.0 (Dynamo) |
Динамически при первом вызове |
Fusion, constant folding, … |
Inductor/XLA |
|
TensorFlow 1.x |
Статически до выполнения |
Полные оптимизации |
XLA |
|
TensorFlow 2.x + jit |
При декорации |
Полные оптимизации |
XLA |
|
JAX |
При вызове |
Агрессивные оптимизации |
XLA |
Наш подход — это базовый уровень понимания вычислительных графов. Современные компиляторы делают то же самое, но на несколько уровней выше. Но это важно понимать как для изучения более сложных подходов, так и для выбора инструментов для работы. Например, для прототипирования удобно использовать eager-режим, когда граф строится в императивном стиле. Но для развертывания в продакшене лучше использовать скомпилированные и оптимизированные графы.
Итак, что мы сделали:
-
Определили
Variableкак узел вычислительного графа, который представляет операцию над данными. -
Перегрузили операторы так, чтобы они автоматически строили граф и записывали лямбды для обратного прохода.
-
Реализовали
backward()через топологическую сортировку и последовательный вызовbackward_fn_. -
Обновили веса через обычный градиентный спуск.
Все это умещается в один класс без иерархий наследования, при этом используется только стандартная библиотека C++ и лямбда-выражения.
Полезные ссылки для тех, кто хочет подробнее изучить тему:
Автор: Mik42


