Роль межполушарной асимметрии и определенной латерализации функций в интегративной деятельности мозга до настоящего времени полностью не выявлена. Долгое время предполагалось, что уменьшение выраженности латерализации, наблюдаемое у левшей, вызывает нарушение познавательной деятельности. Это представление было основано на том, что левши и испытуемые со слабо выраженной асимметрией составляют значительный процент среди различных групп детей, испытывающих затруднения в учебе. Однако исследования больших популяций здоровых детей и взрослых не выявили различий между правшами и левшами в выполнении вербальных и невербальных тестов. Тем не менее характер нарушений, возникающих у левшей при односторонних поражениях мозга, свидетельствует против идентичности или «зеркальности» нейрофизиологических механизмов мозга правшей и левшей. Цель настоящей работы — исследовать характер вовлечения различных областей коры левого и правого полушарий в процесс зрительного восприятия у правшей и левшей.
В экспериментах участвовали подростки 15—16 лет, учащиеся 9—10 классов.
Для определения ведущей руки применялась серия из 12 двигательных тестов, включающих помимо письма и рисования вырезывание ножницами, нанизывание бусин с помощью иголки, открывание коробка спичек, выкладывание из них колодца, пользование инструментами и т. д. На основании выполнения этих тестов вычислялся коэффициент праворукости по формуле
,где П, Л — количество действий, выполненных соответственно правой н левой рукой. Кроме того, учитывалось наличие леворукости в семье, использование левой руки в детском возрасте и асимметрия фоновой ЭЭГ. По этим критериям из всех обследованных подростков были выделены две группы. I группа — сильно выраженные правши (7 человек), в нее были включены испытуемые с высоким коэффициентом праворукости (0,71-0,88), отсутствием семейной леворукости и преобладанием высокочастотных составляющих ЭЭГ в левом полушарии. II группа — левши (7 человек), ее составили испытуемые с низким или отрицательным коэффициентом праворукости (—0,23–0,66), подвергавшиеся переучиванию в детском возрасте, имеющие левшей среди родственников и характеризующиеся отсутствием асимметрии или правосторонней асимметрией ритмов ЭЭГ.
Анализировались усредненные на группу вызванные потенциалы (ВП) затылочных (О), височно-теменно-затылочных (ТРО), теменных(Р) и лобных (F) областей правого (d) и левого (s) полушарий. Регистрация производилась на 14-канальном магнитографе «Тесла», усреднение ВП осуществлялось с помощью Плюримата-С. Время анализа 1000 мс.
Стимулами служили предъявлявшиеся с помощью тахистоскопа латерализовапные изображения 4 геометрических фигур. Расстояние фигур от фиксационной точки, расположенной в центре экрана, —6°. Фигуры предъявлялись в правом и левом полях зрения в случайном порядке с экспозицией 40—60 мс. В задачу испытуемых входило опознание предъявляемой фигуры.
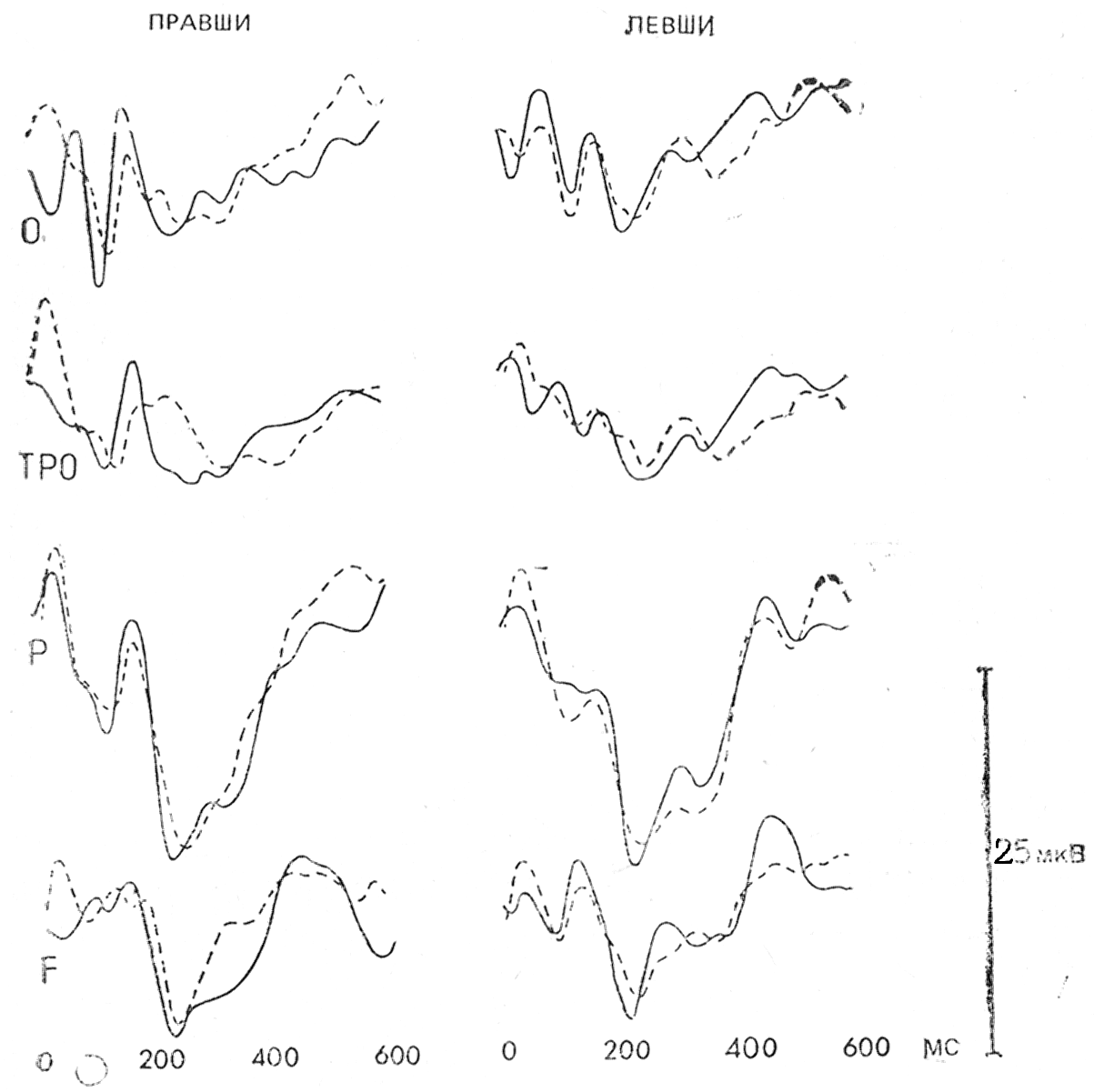
Наибольшие различия между группами правшей и левшей наблюдаются в ВП проекционных затылочных областей (рис.). Первые из регистрируемых компонентов ВП — П50 и Н100, отражающие начальные этапы анализа стимула, обладают у правшей четко выраженной правосторонней асимметрией (рис.): П50, регистрируемый в Od, отсутствует слева, где вместо него регистрируется негативное колебание; компонент Н100 также имеет преимущественную выраженность в Od. Компоненты П130 и Н200, отражающие следующие этапы сенсорного анализа и связанные с вовлечением в реакцию заднеассоциативных областей коры, у правшей также имеют большую амплитуду и меньшую пиковую латентность в правом полушарии. У левшей в затылочной области правосторонняя асимметрия ранних компонентов хотя и имеется, но выражена слабее, чем у правшей: П50 и Н100 регистрируются в обоих полушариях, по различаются по амплитуде—в Od их амплитуда несколько выше, чем в Os (рис.). Компоненты П130 и Н200 имеют у левшей меньшую в сравнении с правшами выраженность и не обладают асимметрией амплитудных и временных параметров.

Усредненные на группы вызванные потенциалы затылочных (О), височно-теменно-затылочных (ТРО), теменных (Р), лобных (F) областей коры головного мозга у правшей и левшей. Сплошная линия - правое полушарие, пунктир - левое.
Усредненные ВП заднеассоциативных областей мозга правшей и левшей также существенно различаются. В ТРО области правшей ранние П50 и Н100 и особенно следующие за ними (П130 и Н200) компоненты ВП хорошо выражены и имеют большую амплитуду и меньшую пиковую латентность в правом полушарии. У левшей амплитуда компонентов П130 и Н200 в ТРО областях снижена, величины этих компонентов в правой и левой областях не отличаются, пиковая латентность П130 и Ы200 короче в левом полушарии. В Р области выявляется правостороннее преобладание компонентов П130 и Н200 у правшей и их левосторонняя асимметрия у левшей.
Материалы клинических и экспериментальных исследований свидетельствуют о меньшей латерализации функций мозга у левшей. Результаты данной работы, выявившей у левшей меньшие межполушарные отличия компонентов. ВП, отражающих сенсорный анализ стимула, находятся в соответствии с этими материалами. Полученные результаты свидетельствуют о том, что различия в степени латерализации у правшей и левшей возникают на самых первых этапах анализа зрительного стимула. Это находит отражение в характере межполушарной асимметрии ранних компонентов ВП. Амплитудно-временные различия компонентов П130 и Н200 в проекционной и заднеассоциативных областях правого и левого полушарий мозга правшей можно связать с присущим правому полушарию целостным описанием изображения в отличие от аналитического описания его в левом полушарии. Это соответствует данным о временных характеристиках наиболее позднего компонента ВП — П300, на основании которых правое полушарие считается более «быстрым» по сравнению с левым. Характер асимметрии ВП, очевидно, свидетельствует о том, что эти принципы анализа у правшей одинаковы в проекционной и заднеассоциативных областях, в то время как у левшей механизмы описания изображений могут существенно отличаться от таковых у правшей и не совпадать в различных областях мозга.
Таким образом, правши и левши различаются в организации корковых механизмов сенсорного анализа. Эти механизмы имеют четкую латерализацию у правшей и обладают гораздо большей сложностью у левшей.
Т.Г. Бетелева, Т.А. Климачева, 1986 г.


