Стандартный сценарий выхода новой нейросети обычно включает в себя громкие заявления, масштабную рекламную кампанию и последующее разочарование пользователей. Так было с Apple Intelligence, Galaxy AI и даже Google Gemini. Но китайская DeepSeek нарушила привычный ход вещей. Этот чат-бот удивил всех не столько своими возможностями, сколько впечатляющей доступностью. Именно он показал, что эффективно работающая нейросеть может быть бесплатной. В результате западные IT-гиганты внезапно столкнулись с серьезным конкурентом, который одним фактом своего выхода уже устроил на американском фондовом рынке “Черный понедельник”. Если вы еще не изучили DeepSeek самостоятельно, под катом подробный разбор практики работы с новинкой.
Что такое DeepSeek и как он устроен
DeepSeek – это нейросеть, разработанная одноименной китайской компанией. В отличие от большинства остальных решений, представленных на рынке, ее преимущество заключается в том, что пользователям она доступна абсолютно бесплатно практически без ограничений по количеству и тематике запросов. Нейросеть пишет тексты, анализирует документы, программирует и делает многое другое, не требуя покупать подписку.
По словам разработчиков, это стало возможным благодаря эффективной модели обучения нейросети, которая оказалась существенно дешевле подхода конкурентов. В отличие от того же ChatGPT, DeepSeek строится на архитектуре “mixture of experts”. Ее суть заключается в том, чтобы обрабатывать данные раздельно, применяя ту или иную экспертность только в соответствующей области.
Такой подход позволил DeepSeek обучить свою модель всего за пару месяцев на относительно скромном кластере из видеокарт NVIDIA H800. Для сравнения: другим компаниям на это требуются многие месяцы и целые дата-центры. В результате на запуск чат-бота компании потребовалось примерно в $5.6 миллионов – это как минимум в 20 раз меньше, чем тратят конкуренты.
Конечно, тут есть один нюанс, о котором многие предпочитают не говорить. Никто не может с уверенностью сказать, что за этой скромной суммой не стоят куда более серьезные инвестиции от китайского правительства. Но факт остается фактом – нейросеть работает, и работает весьма неплохо.
Как пользоваться DeepSeek
Пользоваться DeepSeek можно как в браузере, так и в мобильном приложении для iOS и Android. Интерфейс чат-бота очень сильно напоминает таковой у ChatGPT, поэтому разберетесь.
Главное – зарегистрироваться, но учитывайте, что из-за наплыва пользователей с этим могут быть проблемы. В принципе, писать запросы можно и так, но тогда не сохранится история, а нейросеть не сможет полагаться на контекст предыдущих обращений.
Интерфейс DeepSeek и правда устроен очень просто. Элементов здесь не так много:
-
Сбоку слева находится список ваших предыдущих диалогов и кнопка создания нового чата, а также иконка профиля;
-
По центру – строка ввода запросов;
-
Под ней – кнопка DeepThink, активирующая модель R1, кнопка Search для активации поисковика, и скрепка для добавления сторонних файлов.
Языковые модели DeepSeek
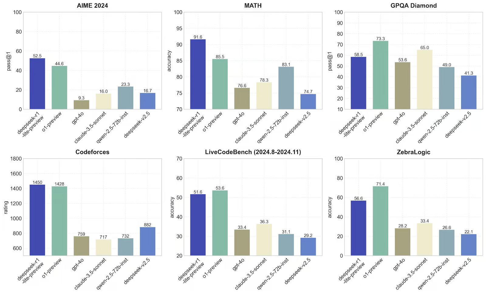
На данный момент DeepSeek предлагает две ключевые языковые модели: DeepSeek-R1 и DeepSeek-V3. V3 построена на архитектуре Mixture-of-Experts (MoE) и оптимизирована для многозадачности – от программирования до математических вычислений и работы с разными языками. При обработке каждого токена активируется всего 37B параметров из общих 671B, что делает модель более эффективной с точки зрения использования ресурсов.
DeepSeek R1, напротив, специализируется на логическом мышлении и решении сложных задач. Модель использует архитектуру с оптимизированным обучением с подкреплением (Reinforcement Learning), что позволяет ей эффективно справляться с задачами, требующими глубокого анализа и рассуждений. R1 имеет меньший диапазон параметров – от 1.5B до 70B, но за счет специализации показывает впечатляющие результаты в образовательных приложениях и исследовательских инструментах.
Ключевые преимущества DeepSeek перед ChatGPT:
-
Стоимость: $2.18 у R1 против $60 за миллион токенов у o1
-
Открытый исходный код и возможность локального запуска
-
Доступ к актуальным данным через интернет
-
Эффективная обработка технических и научных текстов
-
Глубокий анализ документации и программного кода
Сравнение возможностей моделей:
-
DeepSeek-R1: Специализируется на логическом выводе, аналитике и программировании
-
DeepSeek-V3: Эффективна в обработке больших объемов данных и мультиязычных задачах
-
ChatGPT-4o: Лидирует в естественном общении и мультимодальных возможностях
Давайте посмотрим, как отличаются ответы, данные DeepSeek-V3 и DeepSeek-R1.

Модель DeepSeek-V3 сработала быстро и четко. И даже не ошиблась
А вот как работает модель R1:
Локальный запуск DeeSeek и открытый исходный код
DeepSeek, в отличие от ChatGPT, – нейросеть с открытым исходным кодом, которая может работать локально. Это позволяет запускать ее на собственном оборудовании, хоть и не без оговорок, и дает ряд существенных преимуществ.
-
Во-первых, все вычисления производятся на вашем оборудовании, что обеспечивает конфиденциальность данных. Чувствительная информация не покинет пределов вашей корпоративной сети.
-
Во-вторых, отсутствует зависимость от стабильности интернет-соединения – нейросеть работает даже в изолированной среде.
Открытый код также позволяет кастомизировать модель под конкретные задачи. Разработчики могут адаптировать архитектуру DeepSeek, обучать систему на собственных данных и интегрировать ее в существующие проекты.
При этом производительность будет зависеть от используемого оборудования. Для этого нужен довольно мощный компьютер. По сети ходит видео, где DeepSeek запускают на стенде из 7 Mac mini M4 Pro и одного MacBook Pro M4 Max. То есть мощность нейросети нужна внушительная. Однако работать с ней локально все-таки возможно, а значит, и иметь полный контроль над процессом обработки информации.
Локальная версия поддерживает все основные функции веб-версии: генерацию кода, анализ данных, работу с документацией. При этом пользователи могут тонко настраивать параметры модели, экспериментировать с различными конфигурациями и даже создавать собственные расширения.
Что умеет китайская нейросеть DeepSeek
Теперь что касается возможностей DeepSeek. Нейросеть действительно берет на себя многие задачи, в том числе и задачи по программированию. Она самостоятельно создает базовый код, добавляет обработку ошибок и настраивает первичную структуру проекта, высвобождая тем самым довольно много времени разработчикам.
Возьмем простой пример – создание базового калькулятора на Python. DeepSeek не просто генерирует функции для арифметических операций, но и добавляет проверки на деление на ноль, форматирование вывода и интерфейс пользователя:

Выглядит слишком просто? Возможно, давайте попросим DeepSeek о чем-нибудь посложнее. Например: “Создай базовый REST API на Flask для таск-трекера. Нужны эндпоинты для создания, получения, обновления и удаления задач. В задаче должны быть поля: заголовок, описание, статус и дата создания. Добавь базовую валидацию данных и обработку ошибок.”

Начал неплохо

Продолжаем
DeepSeek сгенерировал полноценное приложение с продуманной структурой. Приводить его целиком не буду, но знакомый кодер сказал, что в целом результат его бы устроил. Недостатки он, к сожалению, не описал, поэтому не исключено, что человеку просто было неприятно, что ИИ сделал работу не хуже него.
Главное, что в сгенерированном коде каждый элемент выполняет свою задачу: модель Task описывает структуру данных, метод to_dict обеспечивает сериализацию объектов для API, а каждый эндпоинт включает необходимые проверки и обработку ошибок. Что бы это ни значило.
DeepSeek – нейросеть, у которой есть доступ в интернет
Идем дальше. Поиск. В отличие от некоторых других нейросетей, чья база данных ограничена 2022 или 2023 годом, DeepSeek имеет доступ в интернет. Поэтому китайский чат-бот умеет собирать актуальные данные. Именно поэтому его можно использовать в качестве поисковика.
Система не просто предлагает ссылки на источники с ответом на ваш вопрос. Она буквально находит его самостоятельно. Да, точно так же действует и ChatGPT. Но в бесплатном тарифе нейросеть от OpenAI делает это ограниченное количество раз, а китайцы предлагают полный доступ без лимитов.
В части содержимого сайта функция поиска в интернете DeepSeek может помочь с исправлением неточных данных. Например, она проводит факт-чек характеристик устройств, которые я описывал в одной из своих статей, и указывает на допущенные ошибки в спецификациях.
Я уже не говорю о том, что DeepSeek можно использовать и просто как поисковик, который сразу выдает нужную информацию, а не предлагает самостоятельно искать ее по нескольким ссылкам.
Жаль, со внешними ссылками DeepSeek пока не работает. Если дать ему ссылку на какую-нибудь статью и спросить, о чем она, по сути он не ответит. Максимум, чат-бот постарается угадать, о чем идет речь на основе URL, но рассчитывать на точный пересказ не стоит.
Работа DeekSeek с документами
С документами DeepSeek работает лучше. Система эффективно извлекает нужную информацию из PDF-файлов, сканов и фотографий документов. Например, при анализе пачки авиабилетов она быстро найдет все данные о рейсах, стыковках и багаже, представив их в удобной таблице.
В банковских документах система может найти все повторяющиеся платежи, необычные транзакции или изменения в регулярных поступлениях. При этом она группирует расходы по категориям и выявляет тренды в финансовом поведении.
Но особенно полезной может оказаться функция поиска данных в больших документах. Допустим, у вас есть 100-страничный договор, и нужно найти все упоминания определенных условий. DeepSeek не просто найдет нужные фрагменты – она выделит связанные пункты, которые могут влиять на интерпретацию этих условий.
А вот рукописный текст DeepSeek не распознает. Я устроил ему мой обычный тест для нейросетей, попросив рассказать, о чем написано в медицинской справке, но чат-бот считал только напечатанный текст, а написанное от руки не распознал от слова совсем.
Умеет ли DeepSeek рисовать картинки по запросу
Хотя базовая версия DeepSeek не умеет работать с изображениями, компания разработала специальную модель Janus Pro. Это отдельный инструмент, способный как анализировать существующие изображения, так и создавать новые на основе текстовых описаний.
Например, по запросу “A clear image of a blackboard with a clean, dark green surface and the word ‘Hello’ written precisely and legibly in the center with bold, white chalk letters” от Janus Pro можно добиться вот такой картинки, как справа:
Или вот что будет, если использовать промпт “The face of a beautiful girl”:
Несмотря на текущее ограничение в размере генерируемых изображений (384×384 пикселя), Janus Pro работает как минимум не хуже, а то и лучше, чем DALL-E, у которого до сих пор наблюдаются проблемы с текстами.
Janus Pro использует продвинутый кодировщик SigLIP-Large-Patch16-384, который позволяет эффективно разбивать изображения на части для более детального анализа и качественного синтеза. Как следствие, система учитывает даже мельчайшие детали. Это позволяет избегать разного рода ошибок и неточностей.
Кроме того, Janus Pro позволяет работать с уже готовыми изображениями. Например, вы можете загрузить в чат свои картинки и обучить его на их основе.
Как выход DeepSeek повлиял на рынок и ChatGPT
Запуск DeepSeek стал значимым событием для рынка ИИ-технологий. Китайская нейросеть предложила необычный подход, сделав ставку на открытый исходный код и возможность локального запуска. В результате компании и разработчики получили инструмент, позволяющий развернуть ИИ на собственном оборудовании и полностью контролировать обработку данных по более низкой, чем у ChatGPT цене.
Модели DeepSeek содержат впечатляющее количество параметров и обучены на огромном массиве данных, что сопоставимо с характеристиками последних версий ChatGPT.
При этом китайский чат-бот имеет свои ограничения. Порой система слишком осторожно подходит к определенным моментам. Особенно в отношении политически чувствительных тем, связанных с Китаем. Например, при обсуждении таких вопросов, как события на площади Тяньаньмэнь, независимость Тайваня или положение уйгуров, DeepSeek либо избегает ответа, либо предоставляет информацию, соответствующую официальной позиции китайского правительства.
Но есть и технические недостатки. DeepSeek не всегда корректно работает со ссылками и может выдавать неточности, если не использовать доступ в интернет. Но, как правило, применение этого инструмента нивелирует данный минус.
Да, на фоне ChatGPT китайская нейросеть выглядит как чуть менее универсальное и апробированное решение. Но ее можно смело использовать для технических задач, таких как анализ документации, программирование, поиск в интернете и обработка структурированных данных.

При этом сам факт появления DeepSeek уже серьезно всколыхнул рынок ИИ. OpenAI пришлось снизить цену подписки ChatGPT Plus до $10 за первые три месяца – в два раза ниже стандартной стоимости. А итальянский регулятор, чего-то опасаясь, потребовал удалить приложение из App Store и Google Play якобы из-за подозрений в передаче пользовательских данных в Китай.
И пусть DeepSeek пока не может полностью заменить ChatGPT, Grok или Claude, конкуренция уже делает передовые ИИ-технологии доступнее для обычных пользователей. Так что мы с вами от этого как минимум не проигрываем.
Автор: Xcom-shop


