Китайский технологический гигант Baidu представил две новые языковые модели на конференции разработчиков Create 2025 в Ухане. Модели Ernie 4.5 Turbo и Ernie X1 Turbo предназначены для обработки текста и изображений, поддерживают логические рассуждения и стоят дешевле своих предшественников.

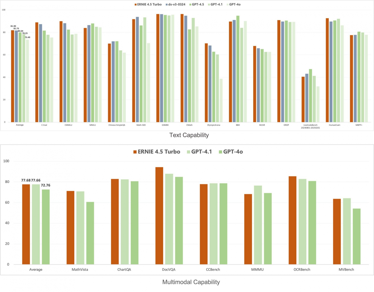
По данным Baidu, Ernie 4.5 Turbo работает быстрее и допускает меньше ошибок при генерации текста по сравнению с предыдущими версиями. Компания утверждает, что его производительность при обработке текста и изображений соответствует GPT-4.1 и превосходит GPT-4o.

Baidu установила цену на Ernie 4.5 Turbo в размере 0,8 юаня (около 11 центов США) за миллион вводимых символов и 3,2 юаня (около 44 центов США) за миллион сгенерированных символов. Компания заявляет, что это на 80% дешевле по сравнению с предыдущей версией.
Компания Baidu также выпустила турбо-версию своей модели логического вывода Ernie X1, впервые представленную в середине марта. Baidu сообщает, что Ernie X1 Turbo превосходит конкурирующие модели Deepseek-R1 и Deepseek-V3.
Стоимость Ernie X1 Turbo составляет 1 юань (около 14 центов США) за миллион вводимых символов и 4 юаня (около 55 центов США) за миллион выводимых символов. Baidu утверждает, что это в четыре раза дешевле Deepseek R1, который уже значительно дешевле западных моделей. Baidu предоставляет обе модели бесплатно в рамках Ernie Bot.
На мероприятии Create 2025, посвящённом теме «Модели лидируют, приложения правят», генеральный директор Baidu Робин Ли подчеркнул важность приложений, заявив, что модели и чипы ИИ бесполезны без хороших приложений. Эта точка зрения перекликается с недавним комментарием менеджера OpenAI по выходу на рынок Адама Голдберга, который сказал, что создание ценности для компаний в сфере ИИ происходит по всей цепочке.
Помимо языковых моделей, Baidu расширяет сферу своего влияния на новые приложения для ИИ. Компания представила платформу Huiboxing, которая, по её заявлению, может генерировать цифровые аватары из коротких видеороликов. По словам Baidu, эти аватары имеют реалистичный внешний вид и естественный голос.
Компания также представила Xinxiang — многоагентное приложение, предназначенное для решения сложных задач. Baidu утверждает, что в настоящее время Xinxiang поддерживает 200 типов задач, включая анализ знаний, планирование поездок и офисную работу. Baidu планирует расширить этот список до более чем 100 000 типов задач и открыть доступ разработчикам. Xinxiang доступен для Android, а версия для iOS находится на стадии тестирования.
Baidu утверждает, что Xinxiang использует расширенную версию протокола Model Context Protocol (MCP) от Anthropic для технической интеграции, как указано здесь.
Кроме того, компания объявила, что расширяет сотрудничество с разработчиками в рамках «Открытой инициативы ИИ». По словам компании, эта платформа позволяет разработчикам продавать ИИ-агентов, мини-программы и приложения.
Автор: mefdayy


