Знание классики – база любых собеседований на все грейды в DS!
Этот материал не рассчитан на изучение тем с нуля. Это чеклист и тренажёр, по которому стоит пройтись перед техническим интервью по классическому ML. Кратко, по делу, с акцентом на то, что действительно спрашивают.
Это вторая часть вопросов по classic ML, если вы не видели первую, то обязательно читайте (там разобрал основы мл, линейные модели, метрики классификации и регресии).
А в этой части разберем:
-
деревья
-
ансамбли
-
метрические модели
-
кластеризацию
Параллельно доступно видеоинтервью с разбором тех же вопросов — обязательно смотрите и закрепляйте материал.
В Telegram-канале — регулярный контент по ML и DL, а на Boosty — разборы реальных собеседований.
Подписывайтесь, в следующих частях будем разбирать NLP и LLM – самые востребованные области в ML.
Деревья решений
Как выглядит жадный алгоритм построения решающего дерева?
Алгоритм:
-
Начинаем с корня — берём весь обучающий датасет
-
Выбираем лучший признак и значение для сплита (критерия ветвления)
-
Разбиваем данные на две части по этому сплиту
-
Повторяем шаги для каждой части — рекурсивно строим поддеревья
-
Останавливаемся, если выполнен критерий остановки; тогда вершина становится листом
Критерии ветвления:
-
gini или entropy – классификация
-
mse или mae – регрессия
Критерий остановки:
-
достигнута максимальная глубина
-
в узле мало или много объектов
-
прирост информации от нового сплита слишком мал
Какие есть критерии сплиттинга?
Gini
Интуиция: вероятность, что случайно выбранный элемент будет неправильно классифицирован, если мы выберем класс случайно по распределению в узле.
где p_i – доля i-го класса в листе.
Особенности:
-
Быстро считается.
-
Часто используется по умолчанию (например, в DecisionTreeClassifier из sklearn).
Entropy
Интуиция: мера “неопределённости” или “хаоса” — насколько непредсказуемо распределение классов.
где p_i – доля i-го класса в листе.
На практике разница в выборе критерия редко сильно влияет на итоговую модель — важнее настройка других параметров (например, глубины, минимального количества в узле и т.д.).
В чём разница между классификацией и регрессией в деревьях?
Классификация:
-
предсказываем метки классов
-
Используем gini или энтропию
-
самый популярный класс по объектам в листе (мода)
Регрессия:
-
предсказываем числовое значение
-
Оптимизируем mse/mae во время сплита
-
Используем среднее / медиану в листе как предсказание
Какие есть плюсы и минусы решающего дерева?
Плюсы:
-
Хорошо работают с нелинейными зависимостями
-
Интерпретируемость: легко объяснить, почему модель приняла решение
-
Работает с категориальными и числовыми признаками
-
Не требует нормализации данных
Минусы:
-
Легко переобучается, особенно при большой глубине
-
Плохо работает с трендами, так как не умеют экстраполировать
-
Очень чувствительны к гиперпараметрам
Сможет ли дерево предсказать значение меньше нуля, если оно обучалось на положительных таргетах?
Нет, не сможет, так как в качестве предсказания в регрессии мы берем среднее/медиану из всех таргетов, попавших в лист. А если у нас не было значений меньше 0, то и среднее/медиана будут больше 0.
Почему деревья не чувствительны к масштабированию признаков?
Потому что они не используют расстояния. Сплиты происходят по порогам типа: “если x > 3, то идти влево”, и не важно, в каком масштабе заданы значения — хоть в сантиметрах, хоть в метрах.
Как оценить важность признаков по дереву?
Обычно важность признака измеряется как суммарное снижение impurity (Gini или энтропии), которое произошло благодаря разбиениям по этому признаку, по всем уровням дерева.
В ансамблях деревьев (например, в Random Forest) эти значения усредняются по всем деревьям.
Как глубина влияет на дерево?
Маленькая глубина → недообучение (underfitting): модель слишком простая, плохо захватывает зависимости.
Слишком большая глубина → переобучение (overfitting): модель подстраивается под шум в данных, плохо обобщает. Крайний случай, например, когда дерево поместила каждый объект обучающей выборки в отдельный лист, в таком случае у нас идеальные метрики на трейне и очень плохие на тесте.
Обычно глубина дерева — один из основных гиперпараметров для настройки
Как можно регуляризировать решающее дерево?
-
Ограничить максимальную глубину дерева (max_depth)
-
Задать минимальное количество объектов в узле (min_samples_split, min_samples_leaf)
-
Ограничить максимальное число признаков для выбора сплита (max_features)
-
Использовать pruning (обрезку лишних веток после обучения)
-
max_leaf_nodes — ограничивает общее число листьев в дереве
-
min_impurity_decrease – минимальный прирост критерия сплита
Ансамбли
Что такое бэггинг?
Бэггинг (Bagging) — это метод ансамблирования, в котором используется несколько одинаковых моделей, обученных на разных случайных подмножествах обучающих данных. Модели обучаются параллельно, а затем их прогнозы усредняются (для регрессии) или берётся мода (для классификации), чтобы получить итоговое решение.
Что такое случайные лес? Где там случайность?
Случайный лес (Random Forest) — это ансамбль решающих деревьев, построенных на случайных подмножествах данных и признаков. Случайность здесь проявляется как в процессе бутстрэппинга (создание случайных подмножеств данных), так и в случайном выборе подмножества признаков на каждом сплите дерева.
Что такое бустинг?
Бустинг — это метод ансамблирования, в котором модели обучаются последовательно. Каждая последующая модель пытается исправить ошибки предыдущих. Например, слабые модели (например, слабые деревья) обучаются на ошибках предыдущих моделей, усиливая их предсказания на тяжёлых объектах.
Почему нельзя в качестве базовых алгоритмов использовать линейные модели, например?
Потому что будет линейная комбинация линейных моделей – это бессмысленно, будет просто та же самая линейная комбинация.
Почему градиентный бустинг называется градиентным? Где там градиент?
Когда мы говорим, что обучаемся на ошибках предыдущих моделей, мы:
-
Мы фиксируем функцию потерь. Она зависит от целевых значений и от текущей композиции
L(y, F(x)) -
Добавляя новый базовых алгоритм в наш ансамбль / композицию, хотим минимизировать функцию потерь
-
Для этого можем посчитать градиент этой функции потерь
-
И обучать следующее дерево на антиградиент
Таким образом мы обучаемся на ошибках, но не совсем на остатках (разницы между предсказанием и таргетом), а на значение антиградиента, что, например, для функции потерь mse одно и то же.
Что такое стекинг?
Стекинг (Stacking) — это метод ансамблирования, при котором несколько моделей обучаются на исходных данных, а затем их предсказания используются как входные данные для мета-модели (вторичного уровня). Мета-модель учится на прогнозах базовых моделей и даёт итоговое предсказание.
Как делать трейн/тест сплит для стекинга?
Для стекинга важен out-of-fold split. Каждый базовый классификатор обучается на части данных (например, с использованием кросс-валидации), а затем делает предсказания на оставшихся данных, которые не использовались в обучении. Эти предсказания (out-of-fold) используются для тренировки мета-модели.
Часто делают кросс-валидацию, чтобы в итоге обучаться на всех данных.
Что такое bias-variance decomposition? Какой тип ансамблирования, что оптимизирует?
Bias-Variance Decomposition — это концепция, которая помогает понять, как ошибки модели можно разделить на две основные составляющие:
-
Bias (смещение) — ошибка, возникающая, когда модель слишком простая и не может захватить все закономерности в данных. Это приводит к систематической ошибке в предсказаниях.
-
Variance (вариативность) — ошибка, возникающая, когда модель слишком сложная и слишком чувствительна к случайным колебаниям данных, что приводит к нестабильным и переобученным предсказаниям.
-
Noise (шум) — это неизбежная ошибка, которая не может быть уменьшена ни с помощью улучшения модели, ни с помощью большого объёма данных.
Полная ошибка модели может быть разложена на три части:
Бэггинг – уменьшает вариенс (в столько раз, сколько базовых алгоритмов в теории) и уже обладает низким смещением.
Бустинг имеет низкий вариенс и уменьшает смещение.
Стекинг явно ничего из этого не призван минимизировать.
Почему в Random Forest при выборе признаков на каждом сплите используют случайное подмножество признаков?
Это делается для того, чтобы снизить корреляцию между деревьями в лесу и улучшить общую производительность модели. Если все деревья будут использовать одни и те же признаки, они будут более похожи друг на друга, что приведёт к менее разнообразным решениям.
С точки зрения bias-variance decomposition мы хотим строить максимально разнообразные деревья и как можно больше их. То есть мы строим экспертов в своей области (по подмножеству данных и признаков), а потом их усредняем.
Да и просто с точки зрения логики – зачем нам строить одинаковые деревья?)
Где деревья глубже бустинг/бэггинг?
-
В бэггинге обычно деревья глубже, а бустинге с ограничением, чтобы не переобучаться.
-
Если в бустинге в какой-то момент будет переобучение – вырулить из этого никак не получится.
-
А в бэггинге даже если будет несколько переобученных деревьев, эффект от них может быть некритичным, так как мы берем несколько алгоритмов и усредняем их предсказаниях.
Что если сделать первое дерево очень глубоким в бэггинге/бустинге?
В бэггинге:
Если первое дерево очень глубокое, оно будет склонно к переобучению на обучающих данных, так как оно будет слишком подстраиваться под шум и выбросы в данных. Однако, поскольку в бэггинге используются ансамбли деревьев, остальные деревья будут обучаться на других подмножествах данных, и, возможно, это частично уменьшит влияние переобучения первого дерева. Но в целом такое дерево может немного ухудшить стабильность ансамбля (на сколько сильно – зависит от общего числа деревьев).
В бустинге:
Если первое дерево слишком глубокое, это может усилить переобучение с самого начала. В бустинге каждая модель обучается на ошибках предыдущей, и если первое дерево слишком сильно подгоняет данные, оно будет давать плохие результаты для последующих моделей. Если у нас первое дерево уже переобучилось – что тогда делать другим деревьям, трейн данные мы уже идеально запомнили. Поэтому в бустинге часто ограничивают глубину деревьев для предотвращения этого.
Что если убрать первое дерево в бэггинге/устинге?
В бэггинге:
Если удалить первое дерево, в ансамбле всё равно останется множество других деревьев, и они будут давать разнообразие прогнозов. Так как в бэггинге важно среднее усреднение множества деревьев, удаление одного не сильно повлияет на итоговый результат, особенно если количество деревьев велико.
В бустинге:
Если удалить первое дерево в бустинге, это сломает всю последовательность обучения, так как каждое следующее дерево пытается исправить ошибки предыдущего. Без первого дерева у модели не будет фундамента для исправления ошибок. Это нарушает основной принцип бустинга, и результат будет сильно хуже.
Можно ли переобучить бустинг? а бэггинг?
Да, бустинг переобучается, особенно при слишком большом количестве базовых алгоритмов.
Бэггинг в целом более устойчив к переобучению, поскольку каждое дерево обучается на случайных подмножествах данных. И при увеличении числа базовых алгоримтов переобучить ансамбль не получится.
В чем отличия LightGBM, XGBoost, CatBoost?
В основном в форме деревьев.
LightGBM
-
На каждом шаге выбираем вершину для ветвления с наилучшим скором
-
Дерево получается несимметричным
-
В этом алгоритме быстро подстраиваемся под трейн данные, поэтому можно быстрее переобучиться
-
Основной критерий остановки – максимальная глубина
XGBoost
-
Строим дерево последовательно по уровням до достижения максимальной глубины
-
Дерево получается симметричным, а иногда и бинарным
-
Такому алгоритму тяжелее переобучиться, чем LightGBM
CatBoost
-
Все вершини одного уровня имеют одинаковых предикат (см картинку ниже). предикат = условие ветвления
-
Такое жесткое ограничение является сильным регуляризатором
-
Также из-за отсутствия вложенных if-else ускоряется инференс дерева
Как распараллелить обучение бэггинга и бустинга
В бэггинге каждое дерево строится независимо от других, поэтому обучение можно легко распараллелить по деревьям – каждое обучается на своей бутстрэп-подвыборке.
В бустинге деревья строятся последовательно, так как каждое новое дерево исправляет ошибки предыдущего. Поэтому распараллелить обучение по деревьям нельзя.
Однако современные библиотеки реализуют внутреннюю параллелизацию — внутри одного дерева:
-
по узлам
-
при поиске сплитов
-
при вычислении градиентов
Как распараллелить инференс бэггинга и бустинга
В бэггинге всё просто – модели независимы, поэтому инференс можно распараллелить по деревьям и затем усреднить/проголосовать результаты.
В бустинге во время инференса деревья тоже независимы, и их можно вычислять параллельно, как в бэггинге.
Однако на практике это редко даёт значительный выигрыш, потому что деревья обычно неглубокие, и накладные расходы параллелизации перевешивают выгоду. Поэтому на практике применяют параллелизацию по данным – обрабатывают батчи объектов одновременно.
Метрические модели
Что такое метрические модели?
Метрические модели — это такие алгоритмы, которые не предсказывают параметры в привычном смысле, а делают предсказания, сравнивая расстояния между объектами. Модель не учится напрямую. Вместо этого, чтобы предсказать класс или значение для нового объекта, она смотрит на похожие объекты в обучающей выборке — и основывает своё решение на них.
Основная идея, Если два объекта «близки» друг к другу по признаковому пространству (то есть расстояние между ними мало), то их целевые значения тоже должны быть похожи.
Как работает k-nn?
1. Обучение:
-
Обучения как такового нет.
-
Модель просто запоминает все обучающие объекты и их метки классов (или значения, если это регрессия).
-
Чтобы классифицировать новый объект, модель ищет k ближайших объектов в обучающей выборке и голосует по их меткам.
-
Для регрессии — берется среднее значение у k ближайших соседей.
2. Предсказание:
Когда приходит новый объект, происходит следующее:
-
Вычисляется расстояние до всех объектов из обучающей выборки
— обычно Евклидово, но может быть любое (манхэттенское, косинусное и т.п.)
-
Выбираются k ближайших соседей
-
Классификация:
-
Класс — тот, за который проголосовало большинство соседей (majority vote)
-
Можно взвешивать по расстоянию: ближние — весомее
-
-
Регрессия:
-
Предсказывается среднее значение по соседям
-
Или взвешенное среднее (опять же — ближние весомее)
-
Какое у knn время обучения и предсказания?
Обучение:
-
O(1) — просто запоминаем данные.
-
Очень быстро.
Предсказание:
-
O(n × d) на каждый запрос
где:
-
n — число обучающих примеров
-
d — размерность признаков
-
Долго потому что при каждом предсказании нужно перебрать все точки и посчитать расстояние до каждой. Никаких предвычисленных весов, как в линейной модели.
Как можно считать расстояние?
1. Евклидово расстояние (Euclidean Distance)
Формула:
-
Корень из суммы квадратов разницы координат
-
Подходит, если признаки числовые и сравнимы по масштабу.
-
Обязательно делать стандартизацию, иначе один большой признак “перетянет” всё расстояние на себя. Евклидово расстояние чувствительно к масштабу признаков. Если один признак выражен в километрах, а другой — в метрах, то первый будет доминировать. Поэтому перед использованием часто нормализуют данные
2. Манхэттенское расстояние (Manhattan / L1)
Формула:

-
Сумма разности координат по модулю
-
Более устойчиво к выбросам.
-
Используется, когда важно учитывать абсолютные отклонения.
3. Косинусное расстояние (Cosine Distance / Similarity)
Расстояние:

-
Показывает угол между векторами, а не их длину. То есть оно показывает, насколько направления двух векторов похожи.
-
Хорошо работает в задачах с текстами, векторными представлениями, где важна направленность признаков, а не их абсолютные значения.
-
Используется в рекомендательных системах, NLP, кластеризации текстов.
Какие есть плюсы и минусы метрических моделей и knn в особенности?
Плюсы:
-
Простота — легко реализовать, легко объяснить.
-
Нет обучения — не нужно долго тренировать модель.
-
Интерпретируемость — можно объяснить решение через похожие примеры: “мы присвоили этот класс, потому что рядом был вот этот объект”.
-
Работают на любых признаках (если выбрать подходящую метрику): числовые, бинарные, категориальные.
Минусы:
-
Медленные предсказания — при большом количестве данных или признаков тормозят.
-
Чувствительность к масштабу признаков — без нормализации всё ломается.
-
Проклятие размерности — в высоких размерностях расстояния теряют смысл.
-
Чувствительность к шуму и выбросам — особенно при маленьком k.
-
Хранение всей выборки — нужны память и ресурсы для хранения и поиска.
Как масштабирование признаков влияет на K-NN? Почему?
Это критически важно. Потому что в k-NN всё зависит от расстояний между точками. Если признаки не находятся в одинаковом масштабе, один из них может целиком доминировать, даже если он вообще не важен.
Как ускорить K-NN для большого датасета?
Понижение размерности перед k-NN
-
Используй PCA, UMAP, TSNE, TruncatedSVD и т.п.
-
Уменьшаешь размерность данных → быстрее считается расстояние
-
Главное — сохранить “структуру близости” между точками
Можно использовать Approximate Nearest Neighbors. Annoy, HNSW (Approximate Nearest Neighbors)
-
Для приближенного поиска ближайших — быстрее, но с небольшой потерей точности
-
Например, Annoy: Можем представить обучающую выборку в виде дерева и считаем уже не по всей области, а по части выборки. Другие методы используют другие методы ограничения выборки для подсчета.
-
Очень хорошо работают для больших объемов данных
Где можно применять метрические модели?
-
Использовать в качестве бейзлайна
-
Если два пользователя похожи — можно рекомендовать одному, что понравилось другому
-
Или искать похожие товары, изображения и так далее.
-
Или можно искать не ближайших, а наоборот:
Если объект далеко от всех остальных — возможно, он аномален. Например, мошенническая транзакция
Кластеризация
Что такое кластеризация? Примеры задач, которые решаются с помощью кластеризации?
Это unsupervised learning, то есть обучение без учителя: нет правильных меток, и модель должна сама найти структуру в данных.
Примеры задач: Сегментация пользователей, поиск аномалий, кластеризация документов или изображений.
Объясните различия между soft и hard кластеризацией.
Hard-кластеризация (жёсткая):
-
Каждый объект относится только к одному кластеру.
-
Пример: алгоритм KMeans — каждая точка назначается ближайшему центроиду.
-
Подходит, когда кластеры чётко разделимы, и пересечения нет.
Soft-кластеризация (мягкая, вероятностная):
-
Объект может принадлежать одновременно нескольким кластерам с некоторой степенью уверенности (вероятностью).
-
Пример: GMM (Gaussian Mixture Models) — точка может принадлежать, например, на 70% одному кластеру и на 30% другому.
-
Это особенно полезно, когда границы между кластерами размытые, и данные — шумные или перекрывающиеся.
Как работает метод К-средних?
Алгоритм KMeans — это итеративный метод кластеризации, который разбивает данные на K непересекающихся кластеров, минимизируя внутрикластерную дисперсию (сумму квадратов расстояний до центроидов).
Основные шаги:
-
Инициализация:
Выбираются K случайных центров (центроидов) кластеров.
-
Присвоение:
Каждая точка назначается ближайшему центру кластера (обычно по евклидовому расстоянию).
-
Обновление:
Центры кластеров пересчитываются как среднее всех точек, попавших в кластер.
-
Повторение:
Шаги 2–3 повторяются, пока центры не перестают изменяться (или изменение меньше ε) либо не достигнуто максимальное число итераций.
Во время этого алгоритма мы минимизируем внутрикластерную дисперсию:
или сумму квадратов расстояний каждой точки до центра своего кластера
Какие есть проблемы с начальной инициализацией центров? Как можно улучшить ее?
Если инициализацию центров делать просто случайно выбирая точки в пространстве, то может возникнуть проблема того, что все центры попадут в одну место – это приводит к:
-
застреванию в плохих локальных минимумах
-
и к большему кол-ву итераций оптимизации
Поэтому придумали способ более оптимального выбора начальных центров, работает следующим образом (KMeans++ инициализация):
-
Первый центр выбирается случайным образом из всех точек.
-
Для каждой точки x, вычисляется расстояние до ближайшего уже выбранного центра — D(x)^2.
-
Следующий центр выбирается случайным образом, с вероятностью, пропорциональной D(x)^2. То есть, чем дальше точка от уже выбранных центров, тем выше шанс, что она станет новым центром.
-
Повторяем шаг 2–3, пока не выбрано K центров.
Мы стараемся разбросать начальные центры по пространству, чтобы они лучше покрывали распределение точек.
Как можно ускорить алгоритм к-средних?
-
MiniBatch KMeans
-
Вместо использования всего датасета на каждой итерации, берётся маленький случайный минибатч точек.
-
Обновления центров проводятся только по этим батчам.
-
Значительно снижает время одной итерации, и в среднем сходится быстрее.
-
-
KMeans++ инициализация
-
Уменьшение размерности
-
Также существуют разные эвристики, чтобы не пересчитывать расстояния до всех центров на каждом шаге
-
Распараллеливание
Что такое иерархическая агломеративная кластеризация, чем отличается от дивизионных алгоритмов?
Это тип кластеризации, при котором мы постепенно объединяем объекты в кластеры, начиная с того, что каждая точка — отдельный кластер, и в итоге объединяем всё в один.
Алгоритм:
-
Старт: каждая точка — это свой кластер.
-
Вычисляется расстояние между всеми кластерами.
-
Находим два ближайших кластера и объединяем их.
-
Обновляем матрицу расстояний.
-
Повторяем шаги 2–4, пока не останется один кластер (или не достигнут критерий остановки).
Как можно посчитать расстояние между кластерами в иерархической кластеризации?
|
Метод |
Как считается расстояние |
Поведение кластеров |
|
Single linkage |
Расстояние между двумя ближайшими точками |
Тяготеет к вытянутым/цепочкообразным кластерам |
|
Complete linkage |
Расстояние между двумя самыми далёкими точками |
Даёт компактные, сферические кластеры |
|
Average linkage |
Среднее расстояние между всеми парами точек |
Компромисс между Single и Complete |
|
Centroid linkage |
Расстояние между центроидами кластеров |
Может не удовлетворять треугольному неравенству |
|
Ward’s method |
Увеличение внутрикластерной дисперсии при объединении |
Стремится минимизировать разброс внутри кластеров |
Что такое дендрограмма?
Дендрограмма — это дерево, которое показывает, как и в каком порядке происходило объединение объектов в кластеры в процессе иерархической кластеризации.
Что показывает дендрограмма:
-
Ось X: объекты или кластеры.
-
Ось Y: расстояние между кластерами в момент их объединения.
-
Высота ветвей: насколько “далеки” были кластеры, когда их объединили.
-
Обрезка дендрограммы на нужной высоте → даёт итоговые кластеры.
Какие есть критерии остановки работы иерархической кластеризации?
-
Фиксированное число кластеров (n_clusters)
-
Разрыв (gap) в дендрограмме
-
Порог по расстоянию между кластерами
-
Минимальный прирост внутрикластерной дисперсии (Ward)
Как работает алгоритм DBSCAN?
DBSCAN — это алгоритм, который ищет области с высокой плотностью точек и определяет их как кластеры, а всё остальное — как шум или выбросы.
2 гиперпараметра:
-
e – радиус окрестности точки
-
minPts – минимальное количество точек в окрестности, чтобы считать точку “основной”
3 вида точек:
-
внутренние / основные точки (core points)
в их окрестности больше чем minPts объектов выборки -
граничные (border points)
не подходят под основные, но находятся в их окрестности -
шумовые точки (noise points)
точки не входящие в окрестность к основным
Алгоритм работает следующим образом:
-
убираем все шумовые точки
-
начинаем поиск в глубину из основных точек и соединяем все соседние точки и их окрестности, если соседняя точка основная
Плюсы:
-
Не нужно задавать число кластеров.
-
Устойчив к выбросам.
-
Хорошо находит кластер любой формы.
Минусы:
-
Плохо работает в высоких размерностях — из-за “проклятия размерности” плотность становится неинформативной.
Какие метрики существуют для оценки качества кластеризации?
-
Без учёта разметки (unsupervised)
-
С учётом разметки (supervised)
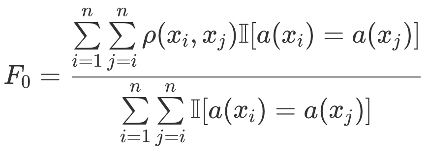
Среднее внутрикластерное расстояние
Сумма расстояний между точками из одного и того же кластера делится на количество пар точек, принадлежащих к одному кластеру.
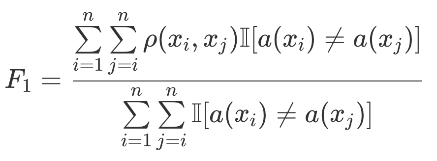
Среднее межкластерное расстояние
Тут уже не максимизация, а минимизация
Коэффициент силуэта
Считаем его для каждого объекта выборки, а потом усредняем между по всей выборки.
А – среднее расстояние между объектом и всеми элементами его кластера
В – среднее расстояние между объектом и всеми элементами из ближайшего чужого кластера
Также есть и метрики для оценки качества с учетом разметки:
Гомогенность и полнота, а также их среднее гармоническое – V-мера
Как выбрать оптимальное количество кластеров?
-
метод локтя
-
коэффициент силуэта
-
по дендрограмме
-
посмотреть глазами (или LLM-кой на получившиеся кластера)
Полезные материалы, на которые я опирался для составления поста:
Учебник ШАДа
На этом в этих темах — все, смотрите разбор вопросов на ютубе!
Разборы реальных собеседований на бусти и еще больше полезного контента в тг канале, подписывайтесь, чтобы не пропустить следующие части, а они уже скоро будут)
Автор: abletobetable


