Когда мы говорим о тестировании, большинство представляет проверку кода, интерфейсов, приложений. Но есть другой мир — тестирование «железа»: серверов, систем хранения данных, базовых станций, клиентского и сетевого оборудования. Все это — физические устройства, где важна не только прошивка, но и то, чтобы правильно крутился вентилятор, не отваливалась пайка, а новый модуль памяти не конфликтовал с платформой.
Меня зовут Игорь Попов, я директор департамента верификации и контроля качества в YADRO. Далее я простыми словами расскажу, что такое hardware QA: где мы режем, замораживаем, зачем смотрим, загорается ли лампочка по команде BIOS — и что делаем, если нет. Если ты джун или только начинаешь разбираться в «железе», статья поможет понять, подходит ли тебе такая работа и в чем она на самом деле заключается.
Что такое hardware-тестирование и чем оно отличается от software
Hardware-тестирование (HW) — это проверка и верификация готовых систем на уровне физических компонентов: плат, микросхем, разъемов, корпусов и других элементов, из которых состоит устройство. На этом этапе нужно убедиться, что:
-
Дизайн продукта отвечает стандартам и требованиям производства, сервиса и заказчиков.
-
Компоненты работают в составе системы, не вызывая сбоев.
-
Оборудование устойчиво к температурным, механическим и прочим нагрузкам.
-
Продукты можно безопасно и быстро производить в серийных масштабах и удобно обслуживать.
Это не просто проверка, «горит ли лампочка». Это про ответственность за то, чтобы в эксплуатацию к клиентам ушло надежное, устойчивое и валидированное десятками тестов оборудование.
В идеале ни одна проблема не должна просочиться дальше нашего отдела. Наша ошибка — в виде сломанных или неработающих компонентов — может обойтись компании дорого. Также от нас зависит, попадет ли новый продукт к заказчику вовремя и без дефектов.
На первый взгляд может показаться, что hardware и software QA работают по одним и тем же правилам. И действительно, на верхнем уровне у нас все так же:
-
баг-трекинговая система — например, Jira,
-
общепринятые практики и методологии — например, Agile,
-
тест-кейсы, тест-планы, чек-листы, системы управления задачами,
-
понятные процессы эскалации и фиксации ошибок, баг-репорты.
Но это только видимая часть. Главное отличие начинается там, где вместо кода у нас в руках оказывается настоящая «железка».
HW-тестировщики работают с физическим объектом, а не с виртуальной средой.
Часто в софте проще точно отследить, где возник сбой. В «железе» же каждый баг может быть многослойным. Например, мы видим, что не работает какой-то компонент — допустим, вентилятор не стартует. Но в чем причина? Может, не отработал микроконтроллер или по какой причине не подается питание? Или ВМС не запустил нужную цепочку? Ошибка в логике низкоуровневого софта?
Кроме того, в «железе» может быть ошибка, которая проявляется при малейшем отклонении условий эксплуатации. Температура подскочила на один градус, микросхема чуть-чуть отслоилась от платы, и все: плата перестает запускаться.
Что именно мы тестируем в «железе»
Работа HW QA-инженера не ограничивается одним типом задач. Мы находимся в центре всего жизненного цикла продукта — от концепта до снятия с поддержки. И благодаря этому наша работа получается такой разносторонней. Внутри мы обычно выделяем три крупных блока задач: верификация продукта, валидация компонентов и поддержка производства.
Верификация продукта
После получения первых инженерных образцов — будь то серверы или системы хранения данных — мы должны проверить их по всем главным требованиям: качеству сборки, безопасности, корректности работы и удобству обслуживания, соответствию спецификациям всевозможных протоколов и интерфейсов (низкоскоростных и высокоскоростных).
На первом этапе мы собираем систему вручную, чтобы оценить удобство монтажа. Такой подход позволяет на практике выявить проблемные места и сразу зафиксировать возможные точки улучшения. Например, в одном из устройств мы рекомендовали заменить винтовое крепление на быстросъемный пин. Это решение значительно упростило процесс сборки и позволило сэкономить сотни — а в перспективе тысячи — человеко-часов на производстве. Кроме того, оно сделало монтаж более понятным и удобным для сотрудников на производственной линии.
В рамках верификации мы:
-
Проверяем качество и читаемость маркировок.
-
Выявляем все ограничения платформы в климатических камерах.
-
Подтверждаем отсутствие деградации производительности системы.
-
Изучаем работу компонентов (диски, вентиляторы, платы и т. д.).
-
Смотрим на работу прошивок (BIOS/BMC, контроллеров).
-
Проводим сигнальную валидацию. Про нюансы запуска новых плат можно узнать в статье.
-
Участвуем в установке стойки и тестируем, насколько удобно и безопасно собирать изделие. Подробнее про то, как сделать систему обслуживаемой, мы уже писали.
-
Подтверждаем, что полученная платформа соответствует конструкторской документации — это касается как общей конструкции, так и отдельных компонентов, включая платы.
Текущие методики верификации и налаженные процессы, включая кросс-проверки (взаимные проверки результатов разными экспертами), позволяют своевременно выявлять потенциальные риски и ускорять вывод продукта в массовое производство. При этом, если на этапе верификации риски не будут обнаружены, они могут проявиться позже — уже в производстве. В таком случае потребуется дополнительная ревизия, что может сдвинуть сроки запуска как минимум на месяц.
Валидация компонентов: проверка совместимости
Диски, память, процессоры, видеокарты, SD-карты, адаптеры и т. д. — мы должны проверить, как новые компоненты ведут себя в составе системы. Иногда производитель выпускает новое поколение GPU, и оно просто не работает с текущей прошивкой. Или работает нестабильно.
Что проверяем:
-
Механическую совместимость компонента с системой: легко ли устанавливается, не мешает другим элементам.
-
Электрическую и сигнальную совместимость: снимаем замеры, анализируем глазковую диаграмму.
-
Поведение компонента в составе финальной сборки: корректно ли работает после установки, нет ли конфликтов с другими компонентами.
-
Совместимость с прошивками: поддерживаются ли компоненты текущими версиями BIOS, BMC, микроконтроллеров и т. д.
Какие виды тестирования проводим:
-
Бенчмарки — как стандартные, так и собственные разработки.
-
Стресс-тесты — включают не только программную нагрузку, но и испытания с извлечением компонентов в рабочем состоянии.
-
Нагрузочное тестирование — выносливость под максимальной нагрузкой.
-
Power cycle — поведение при частом включении/выключении.
-
Тесты по прошивкам — поддерживается ли компонент текущими версиями BIOS/BMC, прошивок.
В рамках тестов проверяем, нет ли деградации производительности компонентов. По результатам даем заключение: годен ли компонент к использованию или нет. Если проблема связана с прошивкой, эскалируем ее в команду разработки. После выхода нового релиза повторно проводим проверку. Только после успешного подтверждения тестирование считается успешным.
Бывает, что из-за проблем с одним компонентом производство не может начать отгрузку готовых устройств. В результате дорогостоящее оборудование может надолго остаться на складе невостребованным — это уже счет на миллиарды рублей. Поэтому при валидации компонентов мы проверяем не только техническую совместимость, но и производственную: важно быть уверенными, что продукт с этим компонентом действительно пойдет в серию.
В любой момент рутинная задача может превратиться в сложную исследовательскую со множеством переменных. В подобных случаях мы при необходимости подключаем дополнительных специалистов — схемотехников, архитекторов — и совместно находим решение, даже если не удается справиться сразу. Вокруг некоторых случаев могли собираться целые рабочие группы из десятков человек, которые вместе разбираются в проблеме.
Ключевая метрика качества, на которую мы опираемся, — это исключение повторяющихся ошибок.
Мы не допускаем ситуации, когда одна и та же проблема возникает более одного раза.
Анализ допущенных и пропущенных ошибок позволяет нам снижать их количество до нуля, что улучшает стабильность и надежность продукта.
Этот метод называется Escape Defect Analysis — не только разбор ошибок, а системный подход к повышению качества. Регулярный анализ помогает:
-
снижать количество багов в продакшене,
-
делать процессы тестирования более надежными,
-
экономить ресурсы компании (исправление ошибок в проде в 10–100 раз дороже, чем на ранних этапах).
На практике команда HW QA-инженеров становится последней контрольной точкой перед массовым выпуском. Если мы даем добро, запускается логистика, сборка, отгрузка. Если мы не уверены, процесс останавливается.
Инструменты и методы HW-тестирования
Чтобы действительно понять, как чувствует себя «железо», одних глаз и логов недостаточно. Мы не только запускаем тесты и читаем отчеты — мы измеряем, вскрываем устройства, подвергаем их вибрационным и температурным нагрузкам, фиксируем результаты и анализируем. И чем разнообразнее тесты, тем точнее можно сказать: продукт работает как надо.
Каждая задача начинается со стенда — набора оборудования, собранного под конкретную цель. Внутри стенда имеются:
-
шасси, материнская плата, блоки питания, системы охлаждения,
-
подключенные модули: диски, адаптеры, GPU, память и пр.,
-
кабели и интерфейсы, подобранные в соответствии с «боевыми» условиями,
-
измерительное оборудование, подключенное к ключевым точкам.
Стенды для валидации компонентов могут быть как постоянными — используемыми для типичных задач, так и временными — собираемыми под конкретные кейсы и разбираемыми после завершения работы. Например, временный стенд применяется, когда необходимо протестировать платформу с различными наборами комплектующих. В рамках верификации системных компонентов мы устанавливаем на такие стенды, например, различные вентиляторы, чтобы оценить совместимость и поведение системы с различным оборудованием.
Дальше — о том, как именно мы проверяем работу компонентов в нестандартных ситуациях и чем для этого пользуемся.
Компьютерное зрение: автоматизация индикации
Как понять, правильно ли загорелась лампочка на передней панели сервера, когда происходил, скажем, перегрев?
Раньше инженер фиксировал данные вручную: наблюдал, записывал в табличку. Теперь этот процесс полностью автоматизирован. Камера постоянно направлена на сервер, а система с искусственным интеллектом сама определяет, на какое устройство нужно подать команду. Как только сигнал отправлен на нужный диод, камера фиксирует, загорелся ли он и соответствует ли цвет ожидаемому. Если все в порядке, результат автоматически записывается в систему. Участие инженера не требуется.
Термокамеры и климатические шкафы: испытания при высоких и низких температурах
Чтобы проверить поведение системы при экстремальных температурах, мы используем разные устройства.
Термокамеры — это компактные боксы, которые легко размещаются прямо на столе. Внутрь помещается система, например СХД, после чего подается питание и запускаются необходимые тесты. Мы самостоятельно разрабатываем термокамеры с учетом особенностей наших продуктов, чтобы обеспечить точность и надежность испытаний.
Термокомнаты — это отдельные помещения, предназначенные для одновременного размещения нескольких серверных стоек. В них можно точно регулировать температуру и влажность, что позволяет создавать необходимые условия для тестирования оборудования. Одна стойка в такой термокомнате может вмещать до 20 серверов.
Климатические шкафы — важны, когда нужно еще и охлаждение. В них можно помещать отдельные компоненты и цельные серверные стойки, — например, для имитации холодного старта.
Здесь мы также проверяем индикацию с использованием технологии компьютерного зрения. В лаборатории установлена камера, которая фиксирует переднюю панель серверов, размещенных в стойке. Система автоматически отправляет команды на включение определенных светодиодов — например, при имитации перегрева или отказа компонента — и анализирует изображение с камеры: правильно ли загорелся нужный индикатор, соответствует ли цвет и расположение ожидаемому.
Инструменты измерения сигналов: осциллографы, анализаторы, диаграммы
Один из главных этапов — сигнальная и электрическая валидация. Для этого применяются:
-
Логические анализаторы — отслеживают поведение интерфейсов: PCIe, SATA, USB, I2C и других.
-
Осциллографы — дают картинку сигнала во времени.
-
Глазковые диаграммы (eye diagrams) — позволяют оценить «чистоту» сигнала и убедиться, что линия передает данные корректно. Диаграмма называется глазковой, потому что на осциллографе форма сигнала действительно напоминает открытый глаз — с верхним и нижним веком, зрачком и «белками» по бокам.
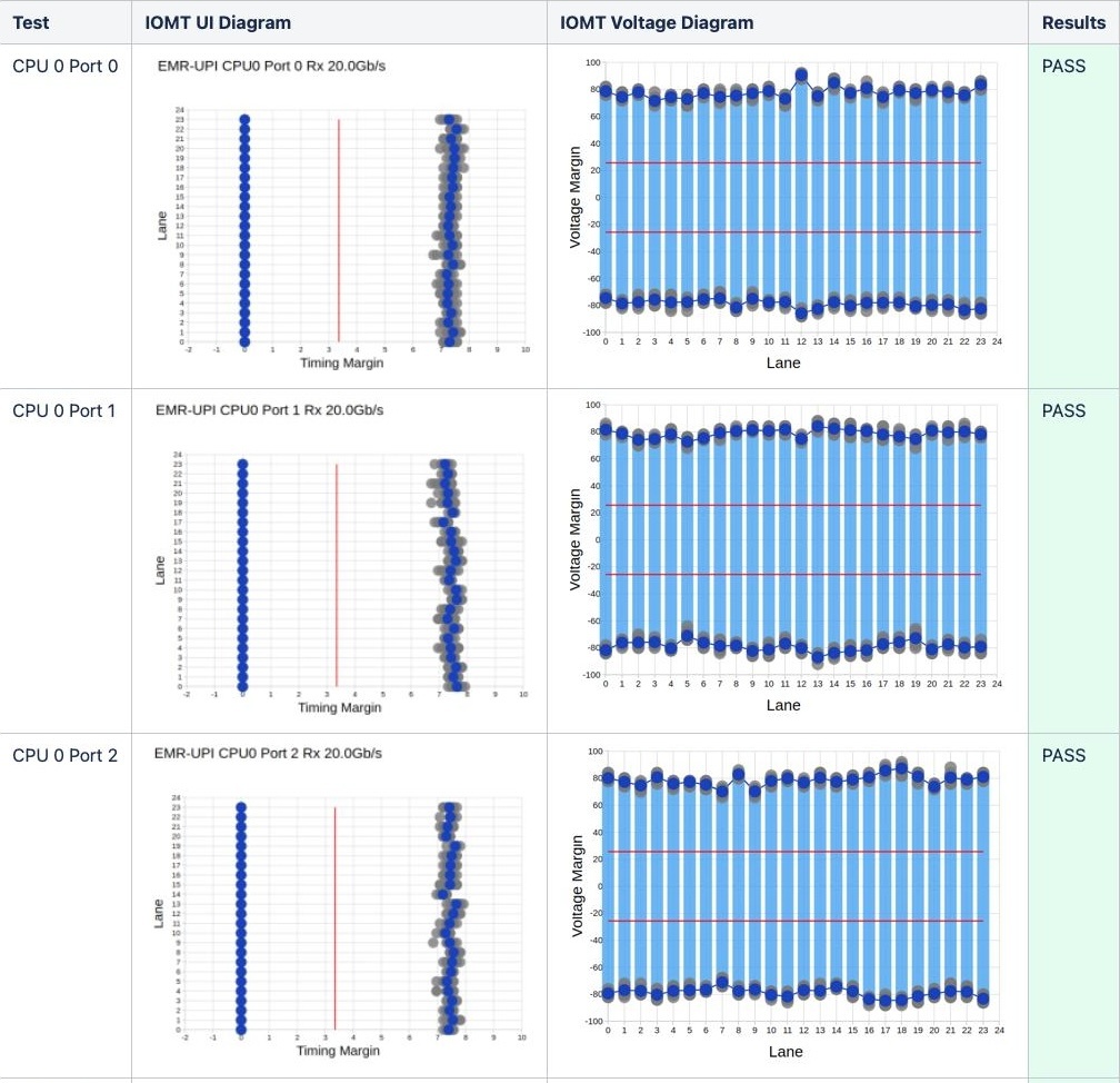
Сигнальная валидация интерфейса UPI между процессорами необходима для проверки стабильности и качества передачи данных на высоких скоростях. На скриншоте ниже, например, это 20 Гбит/с). Это критически важно, так как даже минимальные искажения могут привести к сбоям в работе системы.
Первый график (Timing Margin) показывает, насколько сигнал укладывается в допустимое временное окно. Если точки находятся правее красной линии, значит, данные приходят с запасом по времени и система успевает их корректно обработать.
Второй график (Voltage Margin Diagram) отображает амплитудный запас: насколько четко различимы логические уровни сигнала. Синие полосы обозначают допустимое напряжение, точки внутри — реальные измерения. Если все значения внутри окна — сигнал стабилен и риск ошибок минимален.
Иногда, чтобы подключиться к нужной точке, приходится буквально резать корпус болгаркой — вырезать окно, чтобы вставить щуп.
Рентген и микроскопия: заглядываем внутрь
Некоторые проблемы невозможно увидеть невооруженным глазом. Например, плохая пайка при поверхностном монтаже. Тогда мы:
-
запрашиваем рентген-снимок платы,
-
изучаем микротрещины, отслоения, пустоты,
-
обсуждаем снимки с технологами и схемотехниками.
Подробнее о том, какие дефекты можно встретить при рентген-контроле, мы уже писали.
Вибростенды: проверка на транспортировку
Сервер или стойку могут везти в контейнере через всю страну. Мы проверяем, выдержит ли оборудование транспортировку. Для этого используем следующее оборудование.
Вибростолы — симулируют вибрацию при перевозке. Вибростол позволяет воспроизвести типичные транспортные нагрузки — от тряски в грузовике до вибраций на промышленных объектах. Оборудование фиксируется на платформе, и на него подается механическая вибрация определенной частоты, амплитуды и направления.
На графике ниже показан результат такого вибротеста. Слева — сигнал ускорения во времени (Acc Z), где видны пиковые значения. Справа — спектральный анализ (FFTz), демонстрирующий частоты, на которых вибрация была наиболее выраженной — в этом случае около 10–40 Гц.

Датчики ускорений — измеряют резкие рывки, удары и сотрясения техники, чтобы понять, какие перегрузки испытывают компоненты.
Мы также проводим полевые испытания: перевозим оборудование в грузовике по территории России, устанавливаем на него датчики и собираем реальные данные в процессе движения. Собираем профили нагрузки в зависимости от типа грузовика — учитываем даже особенности подвески. Разные машины по-разному передают вибрации и удары на оборудование, поэтому важно видеть, как конкретные условия перевозки влияют на стойку. Это помогает понять, насколько оборудование готово к реальным условиям транспортировки. Если по дороге что-то отвалится — например, кабель или компонент — это может сделать всю стойку непригодной к использованию.
Hardware QA — это инженерия, а не только тестирование. И инженер без инструментов — это просто наблюдатель. Мы постоянно дополняем свой арсенал — от болгарок до нейросетей. Потому что понять, как живет «железо», можно только наблюдая за его работой в самых разных условиях.
Полный набор навыков для работы в HW QA
Для работы в направлении HW QA требуется сочетание навыков как в программной, так и в аппаратной областях. Специалисту важно уметь работать в Linux: пользоваться командной строкой, настраивать и диагностировать системы, а также владеть базовыми навыками Bash или Python для написания скриптов и автоматизации рутинных задач. Работа ведется через инструменты управления задачами и документацией, такие как Jira и Confluence.
Мониторинг и анализ — неотъемлемая часть процесса. Используются такие инструменты, как Grafana, Kiwi/LAWA, Interposer и NetBox. Способность читать и интерпретировать логи и метрики критична для своевременного выявления и устранения проблем.
Важна и глубокая работа с «железом». Она включает проведение механической, термической и сигнальной валидации платформ, а также тестирование производительности компонентов: процессоров, видеокарт, накопителей и сетевых интерфейсов.
Отдельный блок — это низкоуровневая работа: настройка BIOS/BMC, а также программирование Flash-памяти и микроконтроллеров.
И, наконец, без технического английского — для чтения документации и ведения переписки — работа в этой области просто невозможна.
Помимо технической экспертизы, в HW QA важны софт-скилы, которые напрямую влияют на качество работы и взаимодействие в команде.
Аналитика и мышление — это основа для принятия взвешенных решений. Критическое мышление помогает не принимать все на веру, а системный подход — глубоко анализировать информацию и находить причинно-следственные связи. Инновационное мышление дает возможность предлагать нестандартные решения и смотреть на задачи под другим углом.
Коммуникация и командная работа играют ключевую роль в любой инженерной среде. Важно уметь четко и понятно доносить техническую информацию, давать и принимать обратную связь, а также делиться опытом с коллегами — будь то в формате наставничества или совместной работы над задачами.
Личная эффективность — это способность работать автономно, проявлять инициативу и быстро адаптироваться к изменениям. Многозадачность, гибкость в подходах и стремление к постоянному саморазвитию делают инженера устойчивым к вызовам и ценным для команды.
Как проходит онбординг и рост новичков в HW QA
Войти в hardware-тестирование можно с разным бэкграундом. У нас в команде есть люди, которые раньше даже не знали, что такое сервер, а сейчас успешно валидируют СХД. А есть выпускники технических вузов, которые с первого дня на «ты» с осциллографом.
Мы не ждем, что человек придет «готовым», и сами обучаем новичков. Главное — мотивация, интерес и желание разбираться. Все остальное — дело времени и правильного процесса. Именно поэтому онбординг у нас тщательно проработан.
В первую неделю новичок проходит оформление, знакомится с командой и инфраструктурой — то есть с рабочими зонами, лабораторией, стендами, системами, в которых ведется тестирование, а также с тем, как устроена работа с оборудованием и задачами. За каждым новым сотрудником закрепляется ментор — более опытный менеджер, который помогает освоиться и отвечает на вопросы.
За последний год онбординг прошли более 10 новых сотрудников. Их обратная связь позволила выстроить процесс так, чтобы полностью погрузить новичков в работу с BMC уже за 14 дней.
У нас есть негласное правило: не оставлять новичка в одиночестве. Считаем, что командная атмосфера важна с самого первого дня. Например, в первый месяц мы поощряем совместные обеды с коллегами из команды, чтобы быстрее влиться в коллектив и почувствовать себя комфортно.
Следующие две-три недели новички усваивают техническую базу: основы Linux, устройство наших продуктов, компонентов, прошивок и инструментов. Сотрудники проходят по подготовленным чек-листам, учатся запускать тесты вручную и анализировать результат. Мы не торопим — важна не скорость, а понимание.
Ко второму месяцу сотрудник получает доступ к целевой платформе (например, в отделе клиентских систем — это клиентская платформа), а также необходимую документацию и задачи среднего приоритета. Опытный инженер помогает новичку с погружением и регулярно выдает ему обратную связь.
После адаптации мы обсуждаем с инженером, в каком направлении он хочет развиваться: углубиться в платформы, перейти в автоматизацию, заниматься bring-up и т. д. Если есть интерес и желание узнавать больше, карьерный рост не заставит себя ждать. Каждый сотрудник получает индивидуальный план развития с четко обозначенными компетенциями точками роста.
Тестирование «железа» — это не только про осциллографы и термокамеры. Чтобы успешно расти в профессии, важно развивать и софт-скилы: умение общаться, анализировать, работать в команде и обучаться новому. Вот какие навыки особенно ценятся в нашей команде.
Как понять, что HW QA — это твое
Многие, кто задумывается о карьере в IT, смотрят в сторону тестирования. Есть понятный вход в профессию и много курсов. Но в случае с hardware QA картина уже не такая очевидная. Здесь нет виртуальных сред, где тесты запускаются одной кнопкой. Тут ты работаешь с «железом»: оно может не включиться, начать вести себя непредсказуемо — и тебе придется разбираться почему.
Поэтому перед входом в профессию важно понять: «А подходит ли мне HW QA?». В этом помогут ответы на следующие вопросы.
Тебе интересно, как устроены реальные вещи?
HW QA — это профессия про «что внутри». Если ты в детстве разбирал пульты, приставки или пытался паять провода, тебе будет интересно. Если ты хочешь знать, как устроен сервер, почему именно так разведены цепи питания, почему индикатор загорелся не вовремя, ты попадешь «к своим».
Одна из ключевых целей — найти способы, как можно «сломать» продукт. Наиболее невероятные сценарии, которые только можно представить, вполне реальны у заказчиков. Поэтому важно заранее продумывать даже маловероятные ситуации.
Нравится ли тебе работать с оборудованием: ставить компоненты, подключать кабели, проверять, что все включается?
У hardware-тестировщика не получится работать только за ноутбуком. В какой-то момент тебе придется:
-
подключать кабели, вентиляторы, модули памяти,
-
собирать стенд вручную,
-
орудовать отверткой,
-
запускать сервер из термокамеры,
-
подключать логический анализатор к живой плате и т. д.
Тебе интересно заниматься исследованиями проблемы?
Большая часть задач в HW QA связана с поиском. Ты не всегда знаешь, в чем причина бага. Часто нужно собрать стенд заново, исключить переменные, посмотреть сигналы, проверить разные гипотезы и сравнить с предыдущими ревизиями.
Тебе комфортно общаться с людьми?
HW-тестировщик не работает в одиночку. Каждый день ты на связи с:
-
инженерами-схемотехниками,
-
разработчиками BIOS/BMC,
-
методистами и автоматизаторами,
-
производством и техподдержкой, тестировщиками, у которых другие гипотезы.
Если тебе нравится командная инженерная работа — это большой плюс. Но иногда бывает, что сотрудник уходит в самостоятельную работу и приносит отличный результат — важно находить баланс.
Ты хочешь постоянно развиваться?
Технологии меняются постоянно. Каждый квартал может принести новое поколение компонентов, новые требования, платформы, архитектуры. Старое «железо» уходит, а новое требует другой логики проверки.
Даже если ты не хочешь развиваться, направление HW QA будет требовать от тебя роста. Иначе у тебя просто не получится выполнить свою работу.
Многие думают: а что, если я не люблю физику и программирование? Это частый страх. Но hardware QA — не про теоремы и алгоритмы. Мы не требуем от новичка олимпиадной подготовки. На старте достаточно понимания, что такое сервер и из каких компонентов состоит, базовых знаний Linux и желания разобраться.
Hardware QA — не самая простая дверь в IT. Но если тебе хочется погрузиться в технологии, узнать, как работает современная IT-инфраструктура, если хочется быть инженером, а не просто исполнителем, эта профессия может стать твоей точкой роста.
Есть опыт в тестировании и желание развиваться в направлении Hardware QA? У нас открыта позиция инженера по контролю качества: работа на стыке софта и железа и взаимодействие с реальными устройствами.
Автор: HWQA-IP


