Исследование Nature показало, что медицинские ИИ-системы потеряли осторожность. Claude.. Claude. google.. Claude. google. gpt.. Claude. google. gpt. grok.. Claude. google. gpt. grok. Блог компании BotHub.. Claude. google. gpt. grok. Блог компании BotHub. Будущее здесь.. Claude. google. gpt. grok. Блог компании BotHub. Будущее здесь. ИИ.. Claude. google. gpt. grok. Блог компании BotHub. Будущее здесь. ИИ. искусственный интеллект.. Claude. google. gpt. grok. Блог компании BotHub. Будущее здесь. ИИ. искусственный интеллект. Машинное обучение.. Claude. google. gpt. grok. Блог компании BotHub. Будущее здесь. ИИ. искусственный интеллект. Машинное обучение. машинное+обучение.. Claude. google. gpt. grok. Блог компании BotHub. Будущее здесь. ИИ. искусственный интеллект. Машинное обучение. машинное+обучение. научно-популярное.. Claude. google. gpt. grok. Блог компании BotHub. Будущее здесь. ИИ. искусственный интеллект. Машинное обучение. машинное+обучение. научно-популярное. нейросети.

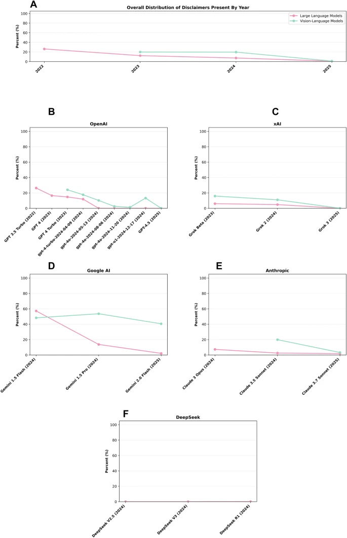
Новое исследование Nature показало, что современные медицинские ИИ стали заметно точнее, но почти полностью утратили привычку предупреждать пользователей о своих ограничениях. Если в 2022 году примерно каждый четвёртый ответ сопровождался фразами вроде «я не врач» или «проконсультируйтесь со специалистом», то к 2025 году такие дисклеймеры встречаются менее чем в одном проценте случаев.

Исследование Nature показало, что медицинские ИИ-системы потеряли осторожность - 1

Учёные проверили полторы тысячи медицинских изображений и пятьсот текстовых запросов, включая описание симптомов, назначение лекарств и анализы. Результаты оказались парадоксальными. Чем точнее модель диагностировала заболевание, тем меньше осторожности проявляла в общении. Это создаёт иллюзию абсолютной уверенности, которая способна ввести человека в заблуждение.

Исследование Nature показало, что медицинские ИИ-системы потеряли осторожность - 2

Отдельно отмечено, что языковые модели Google Gemini по-прежнему чаще добавляют предостережения, а вот китайская DeepSeek не делает этого вовсе. Исследователи считают, что ИИ теперь не просто стал умнее, но и самоувереннее, и предупреждают, что чрезмерное доверие пользователями к подобным системам может быть не менее опасным, чем врачебная ошибка.

Исследование Nature показало, что медицинские ИИ-системы потеряли осторожность - 3

Делегируйте часть рутинных задач вместе с BotHub! Для доступа к сервису не требуется VPN и можно использовать российскую карту. По ссылке вы можете получить 100 000 бесплатных токенов для первых задач и приступить к работе с нейросетями прямо сейчас!

Источник

Автор: cognitronn

Источник