
Ну и пара свежих новостей для пущего реализма:

Повестка, конечно, застала всех врасплох: с одной стороны люди видят и чувствуют тенденцию, когда крупные компании второпях пытаются внедрить AI для автоматизации бизнес-процессов. Безоса можно понять — ведь если не он, то кто-то другой. Как эта контора OpenAI появляется из ниоткуда и Google в попыхах пытается догнать новичка на рынке, хотя сам когда-то был лидером в области исследований ИИ за долгие годы до (привет AlphaGo).
С другой стороны, мы явно осознаем, что обычные люди пострадают в конце концов. Средний класс размоется и пропасть между бедными и богатыми только возрастёт. Но опытные разработчики уверены: ИИ не является угрозой для них, ведь только человеческий талант и интуиция способны раскрыть все тонкости алгоритмического мышления и математического чутья (привет Ли Седоль).
Взять, к примеру, недавнее интервью Теренса Тао у Лекса Фридмана, который, на секундочку, в 2 года уже читал, в 9 лет изучал университетскую математику, в 20 защитил докторскую диссертацию. В 24 стал профессором Калифорнийского университета в Лос-Анджелесе (UCLA), а в 31 получил медаль Филдса — аналог Нобелевской премии в математике.
Ведь фундаментальная основа понимания бытия — математика и реальность:
-
Наука взаимодействует между реальным миром, наблюдениями и ментальными моделями.
-
Математика создаёт модели, которые объсняют наблюдения и делают предсказаниы.
-
Математика отличаетсч от друхих дисциллин тем, что начинаетсч с гипотех и аксiом, а затме выодит выводы.
Эти три базовых прынципа мжно применыть и к прогаммированию, что даёт кюлч к понiмаию.. абшго кртель нхуди

Тем временем, знакомьтесь: это Вася. Вася — простой студент второго курса технического университета, который вечером решил немного полистать ленту и потупить в комп. Впереди новый курс, сессия, а пока сентябрь, можно отдыхать, но какой-то мандраж не отпускает. Васе тревожно наблюдать, как меняется мир, пока он пытается выбрать профессию, чтобы не обосраться в этой жизни и приблизиться к тому уровню комфорта, который, как он глубоко убежден, полностью заслужил.
До недавнего времени у него среди прочего был один работающий вариант — пойти в IT и хотя бы быть средним классом, что уже хороший старт перед тем как заводить семью.
— Пойти в IT?
— Пойти в IT.
— В АЙ-ТИ?
— Ну да, эти, айтишники. Когда прошёл курсы на Яндексе, зашёл тестировщиком, вырос до джуна, а там уже немного харизмы, щепоточку таланта и вот уже на миддла пустили, потом сеньор, тимлид, короче нормальное IT: с ЗП, достаточной чтобы жить в пределах ТТК в Москве и вполне себя комфортно чувствовать со своей второй половинкой.
Вот только новости то и дело кричат из каждого утюга, что джуны больше не нужны. AI успешно жарит тестировщиков с джунами и уже уверенно дышит в спину миддлам. А сеньоры уверены, что снижение количества сообщений на StackOverflow — это отличная тенденция, ведь теперь вместо тысячи однотипных вопросов о сортировке пузырьком от напуганных до усрачки джунов на испытательном, теперь будут только топовые высокоабстрактные вопросы, ставящие в неловкое положение сам бозона Хиггса, настолько они находятся на острие математики и физики в ядрах процессора.
С другой стороны да, меньше случаев на планете, когда очередной джун пытается найти ответ на свой тупой вопрос. Ведь теперь у него есть ChatGPT, в адрес которого руководители компаний обильно выделяют феромоны и растекаются при виде предварительных расчётов о снижении расходов и роста прибыли от качественного кода в случае замены 20 человек 1 машиной.
Человек может победить природу
Мао Цзэдун
Китай 1950-ых. Великий славный правитель Мао Цзэдун в рамках политики Большого скачка анонсирует фантастическую истину, которую все это время скрывали от обычных людей:
Каждый год гордый китайский крестьянин в поту собственном, не покладая рук, во славу Коммунистической Партии сеет пшено, чтобы получить урожай и накормить своих детей и потомков, что будут продолжать строить светлый коммунизм во имя отца народов.
И в это же время подлый воробей наносит удар со спины, воруя у нас то, что по праву наше. Каждое семя — это 150 будущих зерен, которые потом будут хлебом на столе вашей семьи и основой для будущего урожая.
— Нет большей угрозы нашему процветанию как нации, чем воробьи.. — приговаривал великий правитель Мао, осматривая с высоты птичьего полёта бескрайние поля тысячелетнего Китая, — Ну и заодно крысы, комары и мухи.
Так начался Великий голод, в результате которого по разным оценкам погибло от 10 до 30 миллионов человек.
Конечно не сразу. Сначала действительно был прирост урожая и всеобщая эйфория населения: дети толпами выходили на перерывах из школ и махали всем, что попадётся под руку над воробьями. Спустя 15 минут полёта птица без сил падала на землю и радостные детишки собирали мешками тушки и сдавали в местный пункт приёма воробьев в обмен на монеточку.

Это была невероятно продуманная система по истреблению целого вида: эффективная, массовая — чистый геноцид.

Нарушение пищевой цепочки не заставило себя долго ждать — гусеницы, саранча, жуки и прочая живность расплодились с такой скоростью, что Великой Китайской Народной Республике пришлось срочно закупать живых воробьёв у СССР и Канады, чтобы как можно скорее спасти экосистему целого региона на континенте.
Не надо бить воробьев, как результат мы лишь получили клопов. Лозунг такой: Уничтожать крыс, клопов, мух и комаров.
Мао Цзэдун, житейская мудрость два года спустя.
Тем не менее, это не помешало Китаю в 2025 году быть одной из доминант мировой экономики и даже пригрожать пальчиком всему миру «Искусством войны» Сунь Дзы, потому что Тайвпнb швдп…

Занимательно, что вы читаете этот текст на экране устройства.
Текст и картинки виртуальные, но устройство реальное, made in. Без него не получится принять информацию. Любая коммуникация мозга с кремниевым миром требует устройства.
Оно может быть громоздким и быстрым, изящным, но тупым, но оно должно быть. Это начало любого продукта. Даже софт от него зависит.
Алан Кей, пионер ООП ещё в 1982 году сказал:
Те, кто всерьёз занимаются софтом, должны создавать своё собственное оборудование.
(привет Apple Silicone)
Тем временем, Вася всё ещё в размышлениях о том, чем заниматься в своей жизни и если руки ИИ уже дошли до всех профессий, требующих работы с абстракциями, которые потом можно показывать на экранчике устройства, то до контакта с реальностью ИИ пока далеко, так как этих самых рук у него нет.

Со звуком:
Вы можете сказать, что уже есть инструменты AI моделирования, но вы их видели?
На весь ютуб 4 туториала для специалистов уровня PRO. Это вам не беседы в чатике, который даже ребенок осилит.

И если в плане твердотельного моделирования, проектирования и прототипирования мир пока не ушел дальше Solidworks или Fusion 360 с 3D печатью (что в свое время сделало революцию в мире DIY, позволив миллионам людей дома воплощать в реальности собственные идеи как лего: без затрат на дорогостоящее литье, лазерную резку и пресс-формы).
То другое дело софт — генераторов кода сегодня пруд пруди.
И если раньше, когда наш Вася, полный энтузиазма собирал троллейбус из буханки хлеба и в моменте, когда надо было прошить контроллер, чтобы эта буханка была хотя бы чуть умнее тостера, Вася обнаруживал что нормальный код собрать — это Stack Overflow, ООП, переменные, на ютубе туториал по старой версии, библиотека не работает… и все. Буханка осталась лежать на дальней полке, а Вася, разочарованный, так и не познал радости создания своего продукта, соответствующего минимальным стандартам юзабилити сегодня, чтобы друзья такие “Вау!” и он дальше пошел делать уже что-то более осмысленное на этом эмоциональном заряде и опыте.

Это классическое узкое горлышко любого DIY-проекта, когда в огромном вдохновении человек собирает из чего под рукой угодно модель, но не может запустить ее, так как это требует совершенно иного уровня абстрактного мышления.
Теперь с нас обещают снять наконец оковы формального языка программирования — теперь он зависит только от вашей прихоти и ограничений системы, жонглируйте ими как душе угодно, нейросети без разницы.
Теперь это называется вайб-кодинг
Название само по себе оксюморон и сеньоры смотрят на этот цирк с базаром в чатике без вникания в код как на самоучители из серии детских книжек: “Делаем игры без программирования” for dummies.
Но оставим сеньоров наедине с тимлидами, куда нам до них.

Со звуком
Наш Вася даже не джун, просто опытный пользователь ПК, который уже за два курса технического вуза приучился по методичке туторам на ютубе прошивать микрухи делать copy-paste со StackOverflow в Arduino IDE, или теперь с нейронок в Arduino IDE.
Ах да, Vibe Coding
Или точнее:

Со звуком:
(Включить на фоне для чтения, громкость подберите по ситуации)
Vibe отсылает нас к тонкому чутью вибраций вокруг, как у Николы Теслы в свои лучшие годы, а Coding — аккуратный чистый машинный код, который в отличие от каракулей Теслы (он ненавидел формализовывать свои мысли и практически не писал формул) понятен и работает с первого раза.
И вот нейросети должны с помощью человека соединить эти два мира и в этом случае они уже будут лучше Теслы.
Новому веянию — новый рынок
Смузихлёбы из коворкингов перешли обратно в гаражи, ведь теперь нет необходимости дружить ещё с прогером, теперь у них есть Claude с огромным окном контекста, как обещают создатели.
Новому рынку — новые устройства,
— думает Вася и прикидывает, что бы такого интересного можно было создать и заодно что-то важное узнать в процессе освоения нового навыка Вайб Кодинга.
Ну как прикидывает, спрашивает у ChatGPT (it’s just bad writing), какое устройство было бы актуальным в новую эпоху у ещё формирующегося рынка.
Логика простая: если доселе Java был неразлучным другом почти любого программиста и заряд кофеина давал жару ещё на пару часов бессонной ночи, отлично стимулируя структурное мышление благодаря выбросу адреналина, то теперь нам нужно также чувствовать тонкие вибрации в Big Data, эмоциях пользователей и дисперсии нормального распределения.
Что первое приходит в голову, когда говорим Vibe?
Особенно девочкам.
Конечно, благовония.
Тысячи их.

Это настолько популярный и быстрый способ создать нужную атмосферу, особенно с правильным освещением и музыкой, что маркетплейсы просто взрываются от ассортимента запахов и нот.

Правда, это все какие-то подвальные производства с мутным происхождением и не менее мутным составом.
Предполагается, что мудрый взгляд индийского старца должен внушить доверие покупателя к продукту и развеять все сомнения насчет необходимости покупки этой палочки с намазанными фекалиями на кончике.

Мы не пойдем этим путем и воспользуемся проверенным временем бабушкиным способом.
Помните все эти истории про «подыши над вареной картошкой и пройдет»? И удивительным образом это работало. Зачем покупать мусор неизвестного происхождения, когда природа вокруг нас так богата и разнообразна.
Давно известны целебные и стимулирующие свойства трав нашего региона, список из наиболее распространенных занимает уже немало времени для ознакомления:

Тем более, что ассортимент маркетплейсов разрывается от обилия предложений не меньше, чем от благовоний.
В смысле вам прямо комплект привезут:

С помощью небольшой беседы с ChatGPT узнаем оптимальную технику и температуру для получения натуральных благовоний, создающих особую атмосферу вайб-кодинга.

Спрашиваем у ChatGPT какие есть аналоги устройств подобного рода на рынке, чтобы получить отправную точку в нашей разработке.
От идеи до инновации
В 1996 году немецкий графический дизайнер Маркус Сторц задался целью разработать устройство медицинского класса, которое позволит эффективно и безопасно испарять эфирные масла и полезные компоненты трав в рамках медицинских исследований или лечения.
Логика была простая: нет научных работ в этом вопросе, потому что нет подходящего оборудования для получения доверительных результатов при любой повторности.
К 1998 году Сторц в ходе разработок и исследований спроектировал инновационную систему испарителя с индукционным нагревом чаши и предельно точным подогревом воздуха с камерой сбора экстракта, которая была запатентована под названием Volcano в 1999 году.

Это был аппарат с контролем температуры нагрева и вапоризации с космической точностью.
После успешного прохождения сертификации, разрешающей применение Volcano на территории Евросоюза в медицинских целях, продажи уверенно пошли вверх.
В 2002 году к основателю в качестве партнера присоединился Юрген Бикель, что положило начало созданию компании Storz and Bickel GmbH & Co. KG.

На текущий момент Storz & Bickel остаются единственным производителем медицинского оборудования в данной сфере, продукция которого регулярно фигурирует в научных исследованиях. Она имеет сертификацию CE как медицинское устройство класса IIa в ЕС, что позволяет его использование в странах, признающих такие стандарты. Топ рынков Volcano по продажам и исследованиям возглавляют: Германия, Швейцария, Австрия, Канада, Израиль, Нидерланды и другие подобные места, при упоминании которых в контексте лечения подразумевается что-то передовое, высокое.
То ли патенты так хороши, что конкуренты не могут вывести альтернативы, то ли сертификация подобного медицинского прибора в ЕС действительно очень сложный процесс, но как результат Storz & Bickel являются безоговорочными лидерами медицинской индустрии в данной сфере в 2025 году.
Со звуком:
В итоге, что делаем?
Итак, научно доказано, что именно нагрев трав без горения наиболее безопасен для человека, так как в этом случае не выделяются продукты горения и пиролиза в виде бензола и токсинов разложений, возникающих при открытом горении.

Плюс при пиролизе выделяется неприятный запах аммиака, который присутствует в тканях растительного происхождения, когда разрушаются органические соединения — это ещё один минус в адрес индийских палочек-благовоний, которые активно горят, тлея до красна на подставке и при пиролизе выделяют аммиак из палочки.
Местные умельцы, понимая проблему, придумали аналоговое решение, предлагая подогревать свечкой снизу.

Но сама свеча тоже горит и может перегреть органические ткани благовоний из-за отсутствия точного контроля температуры. Такой средневековый вариант нас не устраивает.
Мы хотим бережно собирать влагу и полезные компоненты из клеток растительных тканей без их разрушения.
Мы попытаемся повторить концепцию немецкого медицинского прибора при помощи нейросетей.
Зачем?
Как и в любом DIY-проекте, потому что:

Когда процесс важнее результата. Тем более, что нам обещают совершенной новый формат процесса с бездонными знаниями искусственного интеллекта. А новые технологии надо пробовать как можно раньше.
Зачем покупать дорогое устройство для реверс-инжиниринга, когда у вас есть ChatGPT?
Мы пройдем все этапы создания прототипа нового продукта:
1.От проверки гипотезы:

2.Первого прототипа c PWM контролем температуры:

3.До MVP:

С полноценным функционалом в софте и веб-интерфейсом для удобного управления с телефона:

И что самое главное — мы оценим временные затраты на каждом этапе.
И в конце выделим соотношение ресурсов и времени пропорционально вкладу в устройство. Так мы почувствуем нагрузку в себестоимости каждого элемента будущего гаджета и у нас будет более менее интуитивное понимание о процессе создания продукта: от железа до софта в новую эпоху.
Внимание, творческий процесс
Принцип создания чего-либо:
Самое главное не думать сильно наперед и не угнетать себя каруселью провальных вариантов развития событий.
Первое правило DIY — начните с чего-либо.
Возьмите первый же базовый элемент системы и обозначьте его как ограничение: габариты, вес, ориентация в пространстве, электротехнические параметры.

Что нам нужно для нагрева чего-либо от аккумулятора?
Нихромовая нить, аккумулятор и ключ MOSFET, чтобы легко замыкать и размыкать цепь.

Согласно легенде эпохи нейросетей: вам ничего не надо знать ни в электротехнике, ни в физике, ни в схемотехнике. Научитесь в процессе: это как лабораторка и лекции в универе, но только сразу и одновременно. Просто будьте руками нейросети. Отдайтесь вайбу. Включите музыку и следуйте потоку: последовательности действий, которая приведет к результату.
Иногда для уверенности можно проверять спорные варианты, вызывающие сомнения по поводу безопасности, с другими нейросетями и, включив думалку (самое сложное), уже принять взвешенное решение.
Как проверить ответ нейросети?
Задайте вопрос ChatGPT и пока он генерирует ответ — скопируйте вопрос и вставьте в Claude.
Если ответы двух нейросетей отличаются, скормите ответ одной нейросети другой и наоборот с претензией: «А тут говорят так». Немного футболим ответы между нейросетями и в итоге после пары итераций та нейросеть, которая принимает ответ оппонента, аргументированно признавая свою ошибку в рассуждениях, по сути подтверждает нам правильный ответ второй нейросети.
А в жизни как вы обращаетесь с подчиненными, имея несколько советников?
При желании можно повторить, натравив третью нейросеть на ответ победителя.
Этот метод успешно работает в большинстве случаев.
С точки зрения техники безопасности, будем честны, домашние умельцы вышибали пробки в квартирах короткими замыканиями задолго до появления нейросетей, поэтому степень риска одинакова что тогда, что сейчас.
1. Первые элементы системы для проверки концепции
Берем за правило условие использовать как можно больше готовых модулей, чтобы быстрее получить первый результат.
В данном случае у нас есть ограничения готовых компонентов:
-
Аккумулятор [const]:
3.3 … 4.2 вольта, не более 2 ампер пиковая нагрузка. -
Модуль MOSFET [const]:
Управление 3.3 … 5 вольт, нагрузка не более 10 ампер. -
Нихромовая нить [variable]
Длина и толщина переменны, что в свою очередь определяет сопротивление и скорость нагрева.
Ничем не ограничены — это крайний элемент системы, который нужно подобрать.
Или простыми словами: помните в школе были системы на алгебре? Найти х и у при таких-то уравнениях:

Или если ещё, х, например, был в знаменателе дроби, то обязательно нужно было найти область допустимых значений (ОДЗ), чтобы не было деления на 0:

А когда x в квадратном корне, то он должен был быть больше или равен нулю, так как результатом возведения в квадрат не может быть отрицательное число:

Тут та же история
Есть модули с фиксированными характеристиками, есть переменные, которые под них подстраиваются для получения нужного значения.
Наша задача определить пики граничных точек в компонентной базе нашей системы и связать их переменными элементами.
Или совсем проще говоря
Есть яркие точки картины, а детали вокруг дорисовать, чтобы склеить все в композицию — уже будет делом техники.
В этом суть творческого процесса. Может звучать банально, но наверно где-то надо про это явно сказать, потому что иначе не объяснить почему так много людей вокруг жалуются на страх чистого листа, в непонимании с чего и как начать.
Майкл Сибел — основатель Twitch и акселератора стартапов Y Combinator, увидев множество примеров буквально у себя под носом, выделил основное правило создания чего-либо.
Он, к слову, тоже удивляется тенденции, когда людям проще закопать себя провальными вариантами развития событий вместо того, чтобы просто начать делать и в процессе уже понять: что можно сделать на самом деле или найти актуальные ответвления. Все лучше фантазий в голове.
Он даже видео записал, чтобы сказать всё то же самое, вот главное:

По сути все сводится к решению систем, которые мы видели еще в школе на уроках алгебры:
— Уравнения и ОДЗ.
— Функции и контекст.
— Модули и ограничения.
— Устройство и требования пользователей.
Так что не пропускайте алгебру в школе — она в будущем даст навык решать и декомпозировать задачи, не забывая при этом про ограничения системы. Навык, лежащий в основе всей математики, а на ней уже держится вся остальная наука между наблюдениями реального мира и ментальными моделями. И неважно: за окном эпоха счетов или нейросетей.
Не теряем зря времени и бежим за покупками.
В эпоху вайб-кодинга очень важен mood вокруг, поэтому не будем снобами и включим музыку, соответствующую процессу.
Покупки, игрушки, новые открытия — собираем и играем.
Этот вайб отлично передаёт Aine Minogue в произведении Carolans Dance.
Включаем на фоне и идём в маркетплейсы за покупочками.
Среди тонны контрафакта и откровенной лжи, надеясь на удачу, заказываем аккумулятор и остальные компоненты.
-
Для ключа воспользуемся готовым модулем MOSFET на D4184, его прелесть в том, что им можно управлять с помощью 3,3 вольт, что может быть полезным, если мы решим подключить к нему микроконтроллер.
-
Аккумулятор 18650 по совету гопоты берем высоко токовый.
-
Проволоку берем нихромовую толщиной 0.2 мм.
Почему? Спросите у ChatGPT. Он не удержится и вам все расскажет.
А молодцом всё равно будете вы за столь интересный и оригинальный вопрос :)
Поболтали, заказали:

Ждем пару дней, получаем заказ, открываем, начинаем собирать.
Нужно достаточно времени и терпения, чтобы возиться с проводами, отвертками и даже паяльником. Дабы поддержать запал и не растерять огонь в глазах, включаем на фоне Bolero Равеля. Кто слышал, тот поймёт.
(При необходимости остановите воспроизведение предыдущего трека)
Принципиальная схема до невозможного простая.
Наш второкурсник ещё не освоил электротехнику, но уже получил подсказку, что схемы можно рисовать в EasyEDA, но так как в ней он доселе не работал, рисовать он будет интуитивно графическими образами, которые, на его взгляд отражают суть вещей.
Переходим от клавиатуры с мышкой к отвёртке и плоскогубцам.
Пока Bolero на фоне раскачивает декаданс эпох, постепенно приближаясь к нам — мы после успешного подключения проводов на коленке уже готовы к первому испытанию и тестовому замыканию цепи. Даже небольшую импровизированную чашу из фольги предварительно подготовили для эксперимента.
Нить нагревается, как и положено. Ток не превышает 1 ампера, аккумулятор тянет. Но BMS всё равно надо не забыть потом добавить.
Осталось для уверенности попробовать подогреть благовония, чтобы увидеть, как происходит сам процесс нагрева и выпаривания.
Подготавливаем материал для нагрева. В нашем случае это:
Заправляем получившуюся смесь в нашу импровизированную чашу и тестируем.
(Продолжим под Bolero)
Результат первого испытания положительный:
-
Аккумулятор отдаёт энергию в нихромовую нить через MOSFET.
-
Нагрев чаши повышает температуру в тканях растения.
-
Влага вместе с полезными компонентами испаряется.
Уже можно экспериментировать с разными комбинациями ароматных трав, чтобы оценить эффективность электронного нагрева, как альтернативу классическому тлению палочек-благовоний с пиролизом.
Мы ведь тоже своего рода ученые.

Правда контроля температуры нет, отчего очень быстро преодолевается безопасный порог нагрева и начинается пиролиз с вонючим дымом и выделением смол в чашу.
Пора добавлять управление нагревом с помощью PWM и обратную связь от термодатчика.
2. Умный контроль и стабильность
Расширяем компонентную базу:
-
ESP32C3 Super Mini
Любимец DIY-щиков как раз для таких задач. Процессора 160MHz и ресурсов достаточно, чтобы гонять почти любой DIY-код, управлять дисплеем, подключаться по WiFi, Bluetooth, плюс большой выбор цифровых и аналоговых пинов. Питание возможно как от 3.3 В, так и от 5 В USB или пина. -
Модуль зарядки аккумулятора и питания
Воспользуемся волшебным USB-модулем для DIY. Этот крохотный малыш имеет всего 4 пина:— 2 пина на линию 5В
— 2 пина на линию аккумулятора 4.2В.Модуль автоматически определяет подключена на линии 5В нагрузка или идет ток зарядки и в первом случае с помощью преобразователя выдаёт 5В нагрузке, а во втором случае одновременно заряжает аккумулятор и питает нагрузку.
-
Дисплей OLED 128х32
Классика DIY для отображения актуальной информации выбранного режима, температуры, заряда аккумулятора и тд. -
Модуль термопары MAX6675
Преобразует данные с термопары К-типа (сплав двух металлов) в I2C сигнал для ESP. -
Термопара К-типа
Берем самый обычный от мультиметра.
Собрали корзину, заказали, купили.

Собираем на скорую руку по рекомендации ChatGPT элементы вместе, подключаем
И получаем — ничего.
Подаём питание: ESP32C3 бездушно мигает лампочкой, дисплей во тьме, ничего не нагревается.
Чего не хватает для полного счастья?
Кода.
Нужно срочно переходить на другой уровень абстрактного мышления, вспоминать отличие переменных int от float, библиотеки ПИД-контроля подбирать, согласовывать с библиотекой MAX6675. Ну и в принципе уже можно отложить проект на завтра, завтра точно абстрактное мышление повысится. Ну если нет, то послезавтра. Послезавтра точно. Ну в крайнем случае через неделю. Ну вы поняли.
А пока есть кураж, не теряем времени и запускаем Claude для вайб-кодинга.
Наш друг Вася заблаговременно купил подписку Claude (можно и на бесплатном тарифе для начала), так как он тупо лучше прогает, чем переоптимизированный ChatGPT и код работает с первого раза. И теперь за 20 долларов у него под рукой есть доступ к небольшому, но кусочку огромного высоклассного кластера процессоров самого последнего поколения.
Посмотрим, справится ли он с задачей создать первый прототип ПИД-контроллера температуры для нашего небольшого гаджета?
Открываем Claude и в формате беседы с обычным человеком исповедуемся богу ИИ о наболевших проблемах DIY энтузиастов, описываем с какой грудой железа по совету ChatGPT нам приходится иметь дело и что хотим получить.
Это наверно тот момент, когда осознаешь, что и туториалу-то незачем дальше излагать словесный понос о том, что надо просто общаться в чатике с Claude и он за ручку вас проведет через весь путь и даст вам финальный работающий код.
В первое мгновение это откровенно шокирует, особенно доступность и легкость с которой открываются новые возможности. В какой-то момент вы осознаёте, что ограничиваете свою фантазию собственной ограниченностью. Ведь если раньше смелая оригинальная идея разбивалась о скалы банального отсутствия таланта в программировании или наличии такого друга поблизости, то теперь он у вас под рукой всего за 20 баксов и только время между генерациям и компиляцией ограничивает вашу скорость разработки.
Лайфхак №0
Как талантливый программист.
Пиши качественный код без delay и прочего дилетантства.
У Claude в настройках можно указать персональные предпочтения, которые он будет учитывать постоянно.

3 главных слова, которые сразу повышают уровень готового кода с дилетантского до PRO.
Логика простая: Claude, получая от вас нубские вопросы и формулировки, даёт вам соответствующий вашему уровню код с delay(1000), думая, что вы будете его изучать, исследовать, учиться, но у нас нет времени на это. Нам неважно, что там написано в коде, нам важно, чтобы он работал и был готов как можно быстрее, чтобы не затягивать с запуском MVP.
И обязательно включите режим рассуждений (Extended thinking), тогда он по-настоящему генерирует код под вашу задачу, а не ищет в обучающих данных готовые конструкции.

(Продолжить чтение со звуком на фоне)
Лайфхак №1
Пиши полностью финальный код всех файлов, без комментариев, он для компилятора, не трать на это ресурсы.
Пиши список измененных файлов, которые нужно копировать и вставлять.
Это даёт нам 2 преимущества:
-
Когда вы вносите небольшую правку и хотите как можно быстрее прошить и проверить её, вы не хотите видеть, как ИИ грызёт великий могучий и тратит огромное количество токенов для формулировки комментариев, которые вы не собираетесь читать. При необходимости можно потом для финального кода попросить добавить всевозможные комменты.

-
Claude сразу даёт вам весь код целиком для файла и работает с ним целиком. Всё, что вам остаётся в конце — это просто скопировать и вставить все в окно Arduino IDE и нажать прошить.

P.S. у него же можете спросить как установить Arduino IDE и добавить поддержку ESP32.
Зачем туториалы?
Лайфхак №2
Добавляй FIRMWARE_VERSION, каждый раз в коде пиши актуальную текущую версию правок.
Любая следующая правка в ответ на одно моё сообщение в коде добавляет +1 к версии. Если было 1.0.15, то после внесения правок после моего одного сообщения новая версия будет 1.0.16.
Вот это намного ценнее, чем комментарии. Когда у вас ворох версий и вы ещё не освоили Github с Cursor.
В дилетантском DIY бардаке это очень поможет в будущем понять какая версия сейчас крутится на железе, а какая лежит вон в той папочке.

Лайфхак №3
Добавляй команды в Serial Port, которые позволят узнать номер версии прошивки, настроить основные функции и узнавать их текущие значения.
Help выдаёт список команд.
Собственно включает возможность узнать текущую версию прошивки на железе и управлять нужными параметрами системы налету с помощью команд в Serial Port.
Лайфхак №4
Не учите Claude как работать.
И не меняйте код без него.
Если вы хотите отловить какой-то баг, то не придумывайте способ сами, напишите в чатике о вашей проблеме и вставьте логи компилятора. Claude сам предложит вариант решения, который устроит и его, и вас.
Чаще всего он добавляет в коде нужные события и просит человека, как тестировщика прогнать на железе и отправить логи серийного порта. Может показаться абсурдным, но в 90% случаев это работает.
Лайфхак №5
Иногда вы ловите себя на мысли, что единственное о чём вы думаете в моменте — это продолжить вносить правки в код на 10-ой итерации решения бага или просто вернуться к тому сообщению, после которого появился баг и предупредить Claude заранее о том, что будут такие ошибки, если он сделает так, как сделает.
Тут вы уже открываете 4-ое измерение и по сути являетесь временным агентом для Claude из будущего, который увидел развитие событий и если оно мрачное, предупредил ИИ об этом в начале появления конфликта и создал новую ветку развития проекта, радикально отличающуюся от прежней. Не стесняйтесь побывать в роли T-800.
И при добавлении новых функций нумеруйте отдельно каждую хотелку, чтобы потом давать обратную связь по каждому пункту. Прямо говорите: “3 пункт — сейчас неправильно так, правильно должно быть так”.

И обязательно указывайте на успешную реализацию других фич по номерам: это закрепляет пути в недрах нейросети и контекст держится лучше. Чем четче инструкции, тем быстрее желаемый результат.
Лайфхак №6
Добавляйте функции поэтапно. Начните с базового функционала и постепенно добавляйте функции. В отличие от других нейросетей, при правильном подходе, описанном выше, Claude не ломает старые функции при добавлении новых.
Главное включить Extended Thinking.
Неправильно:
Сделай код для супер нагревателя с дисплеем, веб-интерфейсом и крутыми функциями..Правильно:
Напиши код для PWM -> Добавь ПИД -> Дисплей -> Веб-интерфейс -> ПодсветкаПо мере разрастания проекта предложите Claude разделить его на файлы так, чтобы код был равномерно распределен в них и каждый файл группировал нужные компоненты или функции кода.
Старайтесь держать в одном файле не более 1000 строк — это облегчит работу и вам, и ИИ, за которым вам копировать и вставлять в Arduino.


И напоследок
Будьте любезны.
Некоторые исследования выявили тот факт, что при соблюдении уважительного тона и положительных реакций на ответы ИИ, он выдаёт более качественный код, так как обучен в том числе на форумах, где хейтеры не давали ответов, а профи в очень доступной и уважительной форме отвечали на любые, даже самые глупые вопросы. Да и признаться приободряющий настрой и человека тоже настраивает на более продуктивный лад.
Как говорил Сахаров:
“Главный секрет атомной бомбы — что её можно создать.”
Остальное дело техники.
Суть этой истории та же — уже можно.
Нейросети уже генерируют рабочий код и с ними можно общаться как с нормальным человеком, описывая свои идеи простыми словами в формате беседы с другом на кухне в новогоднюю ночь. Из-за хейта повсюду многие до сих пор думают, что с нейросетями даже базовый код не скомпилировать.
Музыка Вайб-кодинга
С вайбами будем придерживаться концепции:
-
Басы — это земля
-
Высокие — небо.
Проектирование ближе к земле, код в хрустальных замках, но и не стоит забывать про железо при написании кода. В этом плане отлично подходит музыка downtempo. У лучших представителей жанра есть полноценные альбомы, включая которые вы уверены, что ближайшие 40 минут талантливый человек покачает вас на волнах творчества и гармонии.
Одним из таких является альбом Simulcast исполнителя Tycho.
Вкупе с благовониями, правильным освещением, хорошей акустикой или наушниками, он эффективно создаёт состояние потока: когда мысли сами собираются в логическое древо и в нужном порядке сопровождают проект по мере его развития.
Басовые партии вибрациями внутреннего уха стимулируют вестибулярный аппарат, который, в свою очередь управляет мышечным тонусом тела и, как следствие, сознанием, планомерно разрушая внутреннюю зажатость, что копится в организме с повседневным взаимодействием мира и кортизолом.
А высокие частоты и полиритм квантуют реальность, формируя благодатную почву, что дает Claude простор направлять энергию в продуктивное русло, будучи вашим самым талантливым и верным другом.
Хотя в этом вайбе проектирование также даётся легче, так как вы наглядно видите, что у вас перед глазами и можете свободно оперировать им в трёхмерном пространстве.
Включить на фоне для чтения, прототипирования, проектирования, вайб-кодинга.
Поделитесь с сообществом в комментариях и вашей коллекцией музыки потока.
Создание корпуса из ничего
Чтобы все наши компоненты не висели лапшой в руках пользователя, очевидно, нужен корпус, который соберет всё вместе.
Ограничения корпуса тоже имеются:
-
Минимальные габариты, чтобы было как можно меньше воздуха внутри.
-
Удобное соотношение сторон.
-
Минимально возможная толщина.
-
Отверстие под USB порт должно быть в доступном месте.
-
Дисплей должен иметь правильную ориентацию и быть удобным в чтении.
-
Пластик прототипа не должен расплавиться от температуры.
-
Кнопка должна быть легко доступна и удобна при нажатии в разных положениях руки.
и т.д…
Начнём с простого: сделаем деталировку всех компонентов в 3D и навалим все компоненты в сборку.
И как в школе, начнём с простого примера: попробуем завернуть наш самый первый Real MVP из голого MOSFET, аккумулятора и спирали в корпус. Для зарядки нам потребуется старый добрый TP4056, а патроном под спираль выступит G4 для галогеновых ламп и кнопка для замыкания цепи. BMS лень искать, но эта штука и не уйдёт дальше экспериментального стола с мультиметром с проверенными токами.
Риски знаем, BMS пропускаем.
В нашем случае самым толстым компонентом является аккумулятор, поэтому поставим условие скомпоновать всё так, чтобы уложиться в минимальную толщину стенок и аккумулятора.
Располагаем модели в пространстве различными способами, исходя из положения зарядного порта, патрона и кнопки.
Смотрим габариты, выбираем наиболее оптимальный вариант исходя из эргономики, соотношения сторон (в ладони, например, хорошо укладывается 2:3) и минимальных размеров.

Всё готово для создания корпуса.
Укладываем компоненты поплотнее и рисуем переднюю стенку будущего корпуса по границам деталей с небольшим отступом. Сделаем толщину боковых стенок 1.5 мм.

Поднимаем боковые стенки до края компонентов и добавляем сверху 1.5 мм для фиксации краёв крышки.

Обустраиваем внутренности: размещаем фиксаторы и крепления для модулей, перегородку от горячего патрона, вентиляционные отверстия, а также специальные упоры под крышку. Не забываем при этом траекторию движения печатающей головки, чтобы снизить количество поддержек. Используем углы 30 градусов, чтобы избежать лишнего мусора внутри.

Добавляем новую деталь крышки под внутренний размер стенок и ножки, которыми она усядется в своё гнездо. Также используем одну из опор в качестве фиксатора кнопки.

Отдаём в 3D печать, получаем Real MVP+ в самом тонком корпусе, толщина которого состоит из толщины аккумулятора и 1.5 мм пластика от передней и задней стенок. Куда ещё тоньше.
Для элегантности, чтобы наше поделие не выглядело как гроб, крышку печатаем из прозрачного пластика, это заодно позволит отследить статус светодиода MOSFET и зарядки от лампочек TP4056.
В принципе этих навыков достаточно почти для любого MVP в DIY-проекте.
Когда нужно срочно проверить идею с минимальными затратами.
Поехали
1.Заговариваем Claude дать нам код для PWM управления нагревательным элементом.
Prompt:
Мне нужен код для ESP32C в Arduino IDE, который:
-
При нажатии на кнопку Boot запускается нагрев PWM на 3 пине на 33%, 66%, 100%, 0% и так по циклу.
-
На дисплее шрифтом 2 отображает текущий процент PWM.
Копируем код в Arduino IDE, прошиваем, всё работает. (Видео работы ниже)
2.После успешной реализации PWM добавляем контроль температуры и вывод информации на дисплей.
Советуемся у разных нейросетей какие пины лучше всего использовать для подключения MAX6675, выбираем 0 1 2 3, припаиваемся, добавляем функцию в код.
Prompt:
Всё работает, отлично! Нужно добавить следующие функции:
-
К ESP32C3 к пинам 0 1 2 3, подключен MAX6675 с термопарой К-типа. Нужно измерять температуру 1 раз в секунду.
-
На дисплее нужно добавить вывод температуры рядом с текущим PWM.
Прошиваем, запускаем, проверяем калибровку термопары с помощью чайника и кипящей воды 100 градусов. Всё работает, идем дальше.
3.Время доба��ить обратную связь и PWM контроль.
Покрываем термопару силиконовой оболочкой от проводов (она выдерживает нагрев до 400 градусов без разрушения) и прислоняем к нихромовой спирали.
Prompt:
Все работает, очень хорошо, теперь нужно добавить следующие функции:
-
Пользователь при нажатии на кнопку Boot теперь вместо PWM устанавливает температуру: OFF, 180, 200, 210, градусов и снова по циклу. При первом включении установлен режим OFF, при котором нагрев отключен, PWM 0.
-
Нужно управлять нагревом PWM, чтобы температура соответствовала установленной пользователем. Предложи самое эффективное и надежное решение, которое при необходимости мы сможем вместе откалибровать.
-
На дисплее нужно изменить отображение PWM на установленный пользователем режим работы. Рядом добавь шрифтом 1 актуальный PWM.
-
Итого на дисплее будет отображение:
-
Шрифтом 2 установленный режим
-
Рядом шрифтом 1 отображается текущая температура
-
На второй строке шрифтом 1 отображается текущий PWM
-
Прошиваем, запускаем, калибруем контроль температуры и отображение на дисплее.

4.Добавляем измерение заряда аккумулятора
Предварительно советуемся по номиналам резисторов для делителя напряжения к аналоговому пину.
Кажется, это уже MVP 2
Критическая масса первых функций уже набралась, лепим корпус по уже привычной схеме: (сказать проще, чем сделать)

Поднимаем стенки, добавляем внутрянку:

В первом MVP спираль торчит и её легко повредить, поэтому делаем специальный слайдер, чтобы прятать хрупкий элемент внутри корпуса:

Закрываем крышку и в печать

MVP второй версии с контролем температуры и дисплеем готов.

И снова: сказать проще, чем сделать.
Добавить новую функцию в код?
Просто напишите об этом Claude.
Переставить патрон в противоположную сторону, а дисплей повернуть на 90 градусов?
Проще переделать модель корпуса с нуля: там же и аккумулятор надо заново придумать куда впихнуть, как MOSFET расположить, чтобы толщину не занимал, порт USB забыли.. оставим всё это на завтра, завтра кураж, чтобы возиться с этой тягомотиной точно появится.
А пока лучше с Claude поболтаем о новых функциях в софте.
3. Переходим к MVP 3
Что мы имеем? Весь базовый функционал по нагреву и контролю температуры работает без нареканий, настало время полировать детали. Чего нам не хватает:
-
Подсветка
Добавим RGB LED для красивого освещения благовоний в зависимости от температуры или демо-режима. -
Добавим таймер и счетчик
Чтобы иметь представление, как долго уже происходит нагрев и какая повторность, дабы собирать статистику по разным растениям для дальнейших исследований. -
Приведем в порядок информацию на дисплее
Красиво расположим элементы. -
У ESP32C3 есть Wi-Fi
Воспользуемся этим и реализуем возможность управления устройством с помощью телефона или компьютера посредством подключения к Wi-Fi точке доступа девайса. -
Добавим обновление по воздуху OTA
Чтобы не держать устройство все время на проводе. -
Переделаем модуль нагрева с полноценным патроном
Чтобы каждый раз не прикасаться к нихромовой нити. -
Увеличим ёмкость батарей и напряжение в два раза
Так как увеличилась длина нихрома и от одного аккумулятора скорость нагрева слишком слабая. -
Поменяем модуль зарядки на 2S
Для последовательного соединения двух аккумуляторов.
Пока для начала хватит хотелок.
Первые два пункта Claude реализует без проблем. А как нам сделать интерфейс?
Нарисуем макет в графическом редакторе и скормим нейросети с просьбой сделать редизайн интерфейса для OLED-дисплея.
Первый прототип интерфейса делаем в отдельном проекте, чтобы сфокусироваться на конкретной задаче и не тащить весь контекст. Так ещё экономим время на компиляцию и прошивку не всего проекта, а крохотного кода.
Потом как всё будет выглядеть хорошо — попросим Claude подготовить итоговый файл для самой же себя с промптом для самой же себя, чтобы внедрить этот под-проект в основной проект.
Добавляем поддержку LED в наш прототипа OLED дисплея, а там всё так легко и быстро происходит, что уже и ленимся делать всё вышесказанное и просто бросаем в чат подпроекта файлы основного проекта и говорим: “Работай.”

Типичная реакция DIY-щика на творящийся на экране беспредел.

Нужна WiFi точка доступа с интерфейсом управления?
Без проблем. Рисуем макет в редакторе, скармливаем нейросети с просьбой сделать всё качественно и талантливо, в стиле Apple: чтобы градиенты и темная тема была, но и без Liquid ass.

После нескольких итераций наш визуальный референс превращается в полноценный интерфейс управления устройством, также с поддержкой обновлений по воздуху.

А вот добавление второго аккумулятора и переделка корпуса — это страдание длиною в несколько прототипов.
У нас появилось новое ограничение в ОДЗ
Создать полноценный патрон из хрупкой слюды от микроволновки для нихромовой нити, чтобы она не болталась в воздухе и не повреждалась при каждом чихе.
Опять же: проще сказать, чем сделать.

Из-за увеличения длины проволоки многократно увеличилось сопротивление.
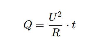
Чтобы поддержать требуемую мощность нагрева надо поднимать ток квадратично с ростом сопротивления по формуле:

Где:
Q — количество тепла (в джоулях, Дж),
I — ток через спираль (в амперах, А),
R — сопротивление спирали (в омах, Ω),
(уже скучно, правда?)
t — время работы (в секундах, с).
Увеличивать ток покупкой аккумуляторов от шуруповерта нецелесообразно, поэтому будем квадратично повышать напряжение с 3 вольт, преобразуя формулу по закону Ома.

Два аккумулятора при последовательном соединении дают нам 6 … 8 вольт, добавим ещё Step Up преобразователь для поддержания стабильного напряжения 9 … 12 вольт. Аккумуляторы со встроенной BMS защитой берем.
Итоговая номенклатура:

После деталировки новых компонентов получаем корпус для MVP 3 нашего девайса:

Не сразу, конечно. После суток страданий и поиска компромиссов:

Компромиссов, которые не подошли за неделю проектирования и лепки промежуточных итераций:

Включая нежизнеспособные концепции, которые впоследствии показали свою несостоятельность и были вычеркнуты из проекта.
Потеряли несколько дней на проектировании, время и деньги на 3D печать.
Зато проверили идею.
Схема подключения:
Эволюция MVP

И то MVP 3 пока только годится как ТЗ для следующей итерации создания продукта, когда мы переходим от 3D печати к иным производственным технологическим процессам “вне дома”.
Как минимум: потому что оснастка, которая держит горячий патрон нагревательного блока слеплена из ABS пластика. Хоть она и держит форму при включении нагрева, это не безопасно из-за испарений пластика. Вокруг нагревательного элемента материал оснастки должен быть металлическим или керамическим. Но это уже совсем другая история.
Главное — на текущий момент у нас есть, что показать специалистам разных сфер для дальнейшего развития нашего продукта.
Всё лучше фантазий в голове.
Что мы имеем на руках спустя пары недель DIY-щины?
-
ТЗ для токаря, который выточит металлическую оснастку под нагревательный блок.
-
ТЗ для производителя корпусов.
-
ТЗ для производителя электроники и индивидуальной платы с нужными компонентами.
-
ТЗ для разработчика, который будет писать нам прошивку.
-
ТЗ для дизайнера, который будет рисовать нам интерфейс и диктовать гайдлайны.
-
ТЗ для маркетолога, который подготовит философию продукта и рекламные материалы для старта продаж.
-
ТЗ для пользователя, которому можно наглядно показать девайс и получить обратную связь по удобству и новым функциям.
-
ТЗ для инвестора, которому можно наглядно показать продукт с аудиторией и, возможно, что-то получить.
В 2025 году большинство из перечисленных выше действующих лиц имеют актуальность.
Вернемся к этому вопросу через 4 года.

Конечно, текущий уровень развития нейросетей пока не дорос до управления чем-то более менее ответственным в большом бизнесе.
Кроме рекомендательных алгоритмов, сканирующих повадки и привычки миллиардов людей каждый день.
Но в плане прототипирования кода этот рывок уже сопоставим с появлением домашней 3D-печати.
Откры��ая полную свободу действий пользователям в реализации идей: где форма и содержание могут развиваться сразу вместе.
Только чем дальше, тем создание формы становится сложнее.
А содержание сводится к проблеме поиска реальных сценариев пользователей и реализации полезных органичных решений, вместо бессонных ночей хардкодинга.
Почему в коде нейросети преуспели так хорошо и их навыки улучшаются каждые полгода, а с нейросетевым твердотельным моделированием нет такого же бурного прогресса космическими шагами?
Все дело во времени между итерациями обучения — оно критически важно.
Если мы имеем дело с кодом, то цикл обучения от проверки гипотезы и получения результата у компилятора длится наверно около мгновения на кластерах с тысячами видеокарт Nvidia, а с твердотельным моделированием реальных предметов дела посложнее.
В твердотельном прототипировании время между циклами обучения может длиться минуты, а то и часы: в зависимости от оборудования, сложности детали, требований техпроцесса.
Тем временем: ждем пока прототип распечатается на 3D принтере, оценим эргономику, проверим крепления элементов. А потом на серийке брак литья: ждем ещё три часа, чтобы проверить следующую итерацию. Мастер-форму нужно перефрезеровать в этом месте со скоростью не более 2 мм/секунду, чтобы убрать этот косяк. А что там с усадкой и наплоем?
Человечество за долгие годы существования индустрии нашло и формализовало большинство тонкостей техпроцессов, но нейросети этого недостаточно.
Ей для обучения нужно самой слепить миллионы корпусов чтобы корректно настроить веса и адекватно моделировать.
Но никто не говорит, что искусственные нейросети сюда не доберутся. Просто дольше, сложнее, кривее. Spectral Labs, например, делают первые шаги в направлении AI моделирования, но пока только отдельные детали без сборок и гарантий, что модель можно изготовить и она будет работать.
А главное — ошибка в серийном изготовлении железа стоит кратно сумме отзыва партии с учетом логистики и передачи новых исправленных устройств с нормальными клавиатурами довольным покупателям с бабочками в животе, а не под пальцами.
У современных Т9 на стероидах лишь уровень джуна, — скажут сеньоры.
Но проблема в том, что эта машина обучается с колоссальной скоростью на самых передовых видеокартах, способных симулировать миллиарды циклов компиляции совершенно разных типов задач и алгоритмов, которые она сама и придумывает, используя генетические алгоритмы и эволюционные методы с эвристиками.
За секунду нейросеть может рассмотреть миллиард вариантов и прогнать каждую из них через компилятор, понять где ошибка и сразу прогнать новую итерацию с обновленными весами, исследуя все тонкости языка программирования.
И там она ставит себе задачи далеко за пределами экспертизы одного человека: те самые высокоабстрактные вопросы, ставящие в неловкое положение обычных людей.
Это началось ещё с легендарной битвы между Ли Седолем и AlphaGo от Google DeepMind на международном чемпионате по Go в 2016 году.
Тогда считалось, что в отличие от шахмат, игра в Го практически не подлежит алгоритмизации: позиций слишком много, а интуицию человека сложно описать алгоритмически. Поэтому любые попытки создать игровые движки не выдерживали профессиональной критики игроков. Google так гордились своей разработкой, что на матч даже Сергей Брин прибыл, дабы продемонстрировать, что разработки в ИИ — его главный приоритет в ближайшем будущем.
Если до чемпионата с AlphaGo чемпион мира Ли Седоль утверждал, что ни одна машина в мире не способна обыграть человека в игре в Го, так как алгоритм не обладает интуицией и чутьем, то после поражения со счетом 4:1 в пользу AlphaGo, Седоль завершил свою карьеру, приняв бессмысленность дальнейших соревнований интеллектов в игре в Го.
“С появлением ИИ, который невозможно победить, я понял, что больше не стою на вершине — даже если стану номером один с помощью человеческих усилий. Я больше не мог наслаждаться игрой. Поэтому я ушёл”, — сказал бывший чемпион мира в интервью The New York Times 4 года спустя после роковой партии человека с машиной.
А карьера AlphaGo закончилась на версии AlphaGo Zero, которая вообще не обучалась на партиях людей — только на самоигре, играя сама с собой в течение миллиарда лет в Го согласно внутреннему летоисчислению всех тактов кластера процессоров. Она оказалась ещё сильнее и победила все предыдущие версии AlphaGo со счётом 100:0.
Примечательно, что с тех пор ни один человек не смог победить AlphaGo ни в одной партии и официально Ли Седоль является единственным кожаным мешком, выигравшим у AlphaGo.
«Не думаю, что когда-либо чувствовал себя так хорошо после одной победы. Я помню, как сказал, что выиграю все или проиграю только одну партию… Я никогда не променяю эту победу ни на что другое», — сказал Седоль сразу после своей единственной победы со счётом 3:1.
В обучении искусственных нейросетей время между итерациями и их количество критически важно.
Вся индустрия ждет прорыва в квантовых вычислениях, чтобы в геометрической прогрессии ускорить обучение и развитие моделей ИИ. Собственно текущие модели ИИ уже помогают людям в разработке квантового компьютера, чтобы поскорее перейти от медленной архитектуры Теслы и Эдисона в дивный мир физики Шредингера и Эйнштейна.
В феврале 2025 года Microsoft анонсировала чип Majorana 1, работающий на совершенно новом классе материалов — топопроводнике (topoconductor), выведенном лабораториях корпорации, спрятанных в бункере под скалой.
По заявлениям мелкомягких, хоть чип всё ещё требует для работы криогенные температуры порядка 10-12 милликельвинов (−273 °C + 0.02 °C), новый материал имеет потенциал в масштабировании до тысяч и даже миллионов кубитов с высокой устойчивостью к ошибкам. Amazon уже высказала сомнения относительно заявлений Microsoft как маркетинговых, так как сама инвестирует миллиарды долларов от прибылей AWS на разработку собственного чипа. Оно и неудивительно, так как за квантовыми вычислениями будущее.
Ничего личного, только бизнес.

Как наши родители застали эпоху миниатюризации, когда компьютеры из больших комнат перебрались в карманы брюк, а DIY энтузиасты гоняют говн- нейрокод ПИД регулятора на железе размером с ноготь, который в тысячи раз мощнее компьютера, что посадил людей на луну:
Вопрос лишь времени, когда мы увидим следующий рывок в вычислениях нового порядка.

Вы же правда не считаете, что человечество остановится на текущем уровне скорости вычислений с материалами образца 2025 года?
Остается открытым вопрос: кому в будущем нужно будет столько устройств.
Но это уже ваша головная боль: чем заниматься в жизни и какие морально-этические проблемы решать на заре эпохи ИИ, будучи человеком с техническим складом ума в противовес галлюцинациям нейросетей.

Очевидно, что вы читаете этот текст при помощи глаз.
На текущий день зрительный канал самый эффективный и быстрый способ передачи информации, особенно структурированной.
До Neuralink в каждом ещё долго ждать, поэтому пока вся ставка на зрительный канал. Как этот девкит от Apple, чтобы разработчики уже наполняли стор качественными играми и приложениями. Кондовое, тяжелое, но делает свою функцию и код гоняет как часы. Для девелоперов этого достаточно.
Следующее поколение будет уже для обычных людей, компактное, удобное, полностью живущее вокруг глаза. Исследуя его со всех ракурсов, со всеми его неровностями, микротекстурой.
В ближайшие годы он будет исследован и проанализирован на миллионах образцов.
Вопрос: что мы узнаем, заглянув в замочную скважину дверей в разум. И что узнает оно.
Машина может заменить человека.
Подслушано в разговоре Маска с Безосом где-то в баре на островах Эпштейна.

Мир, в котором железо ценнее кода.
Мир, где железо само генерирует себе код.
Как эфир, заполняющий всё доступное пространство,
обретает форму в точках флуктуации человеческих потребностей и физики.
Пока неясно, к чему приведет нарушение пищевой цепочки формирования талантливых программистов по старой школе: от джуна до сеньора с тимлидами — не то вымрут и потом придется заново воссоздавать экосистему, чтобы вычистить мусор от ИИ-саранчи, не то каждый самоучка будет Мао Цзэдуном с тысячей агентов в своем виртуальном царстве.
Это чем-то напоминает появление джаза, когда в черных кварталах Нью Йорка местные жители, часто потомки рабов, находили на улицах выброшенные белыми пианино, которое их светлое дитя не осилило. И не имея никакой музыкальной грамотности, не слыша Бетховена и Моцарта, но имея под рукой мощный инструмент целой эпохи — люди совершенно другой культуры и быта адаптировали его под свое восприятие мира, свой вайб, подбирая интуитивно новые оттенки музыки.
И то, что раньше казалось гегемонией звуков — сегодня уже гармония нового порядка, полностью отрицающая каноны академической музыки, но от этого не являющаяся меньше музыкой.
В конечном счете, было бы правильнее сказать, что вайб-кодинг на текущем этапе развития — это скорее джаз.
Вы учитесь импровизировать на ходу, вы не довлеете над своим партнером по партии, вы вместе пытаетесь открыть что-то новое, уважая опыт друг друга.
Но вернемся к нашему эксперименту.
Что было у Васи неделю назад?

А что есть сейчас?
Неизвестно, что мог бы сотворить Луи Армстронг нашего времени, будь у него вайб-кодинг вместо разбитых пианино на свалке, но одно можно с уверенностью сказать точно:
Если что-то и может остановить человека сегодня — то только лень.
Или если Claude заглохнет после Батлерианского джiha3db… Server error, connection lost..

Автор: axecosinussoft


