
Мозг человека постоянно сравнивают с компьютером, который передает сигналы, анализирует информацию и хранит данные. Продолжая эту аналогию, можно сравнить нервные окончания с проводами, которые передают сигналы от мозга к определенному органу или части тела и обратно. А центральным хабом для этих проводов является спинной мозг, повреждение которого часто приводят к потере двигательных функций. Пусть данное сравнение хоть и не очень точное и элегантное, тем не менее оно показывает, что прерывание канала передачи сигналов не эквивалентно полному его исчезновению. Остается лишь найти этот сигнал, декодировать его и перенаправить по альтернативному пути. Ученые из Американского института физики (Колледж-Парк, Мэриленд, США) провели исследование, в котором попытались обнаружить сигналы «намерения» движения конечностями у пациентов с повреждением спинного мозга с помощью данных ЭЭГ. Какие именно сигналы искали ученые, что им удалось найти, и как это поможет в протезировании будущего? Ответы на эти вопросы мы найдем в докладе ученых.
Основа исследования
Травмы спинного мозга (SCI от spinal cord injury) имеют серьезные последствия для качества жизни пострадавших пациентов и представляют собой актуальную социальную проблему: в мире зарегистрировано более 15 миллионов случаев, а ежегодные расходы на здравоохранение оцениваются более чем в один миллион долларов на одного пациента на протяжении всей его жизни. Потеря двигательных функций нижних конечностей является важным последствием SCI, снижающим мобильность и независимость пациентов, что делает восстановление функций нижних конечностей одним из приоритетов для таких людей. Физиотерапия, основанная на выполнении активных упражнений, показала свою эффективность в реабилитации пациентов, сохраняющих остаточные двигательные функции после SCI (также называемых пациентами с неполным SCI). Однако доказательства того, что интенсивная реабилитационная практика может привести к улучшению двигательных функций у пациентов с полным SCI, остаются ограниченными.
Электрическая стимуляция спинного мозга (SCS от spinal cord stimulation) продемонстрировала потенциал для улучшения или восстановления функциональных движений как у пациентов с неполным, так и с полным повреждением спинного мозга. Хотя конечная цель SCS вмешательств — помощь пациентам в повседневной жизни, обеспечение целенаправленных протоколов стимуляции, учитывающих их специфические функциональные потребности, пространственно-временное управление стимуляцией в неструктурированных условиях остается сложной задачей. Возможность использования кинематических или миоэлектрических стратегий управления электрической стимуляцией была продемонстрирована в прошлом, но требует наличия остаточных двигательных функций у целевых пациентов, что делает подходы к управлению для пациентов с полным повреждением спинного мозга особенно сложными.
Наилучшим кандидатом для управления стимуляцией в таких случаях была бы разработка «интерфейса мозг-позвоночник», напрямую связывающего кортикальные двигательные команды с SCS. Недавно было представлено первое экспериментальное подтверждение концепции инвазивного интерфейса мозг-позвоночник с использованием электрокортикографии (ЭкоГ или EcoG от electrocorticography). Несмотря на многообещающие результаты, EcoG требует хирургического вмешательства, включающего обнажение части мозга, что приводит к риску инфекций, тем самым ограничивая ее применение. Кроме того, процедура представляется чрезмерно инвазивной, учитывая, что ходьба не является первостепенной задачей для людей с повреждением спинного мозга, которые обычно отдают приоритет функциям кишечника, мочеиспускания и половой функции. Электроэнцефалография (ЭЭГ или EEG от electroencephalography) была предложена в качестве интересной неинвазивной альтернативы EcoG для интерфейсов мозг-позвоночник. EEG имеет более низкое отношение сигнал-шум и пространственное разрешение, чем EcoG, но несколько исследований показали возможность декодирования попыток движений верхних конечностей и намерений движения с использованием EEG у людей с повреждением спинного мозга в шейном отделе. Кортикальные модуляции, связанные с движением, обычно изучаются в частотной области в тета (4–8 Гц), альфа (8–12 Гц), бета (12–30 Гц) и гамма (30–100 Гц) диапазонах частот. Десинхронизация/синхронизация, связанная с событиями (ERD/ERS от desynchronization/synchronization), количественно оценивающая изменение мощности полосы сигнала между интервалами выполнения задачи и отдыха, являются важными инструментами, используемыми в декодировании EEG и интерфейсах мозг-компьютер (BCI) на основе EEG. В целом, выполнение движений и моторное воображение ассоциируются с ERD в низкочастотном диапазоне (тета, альфа и бета) и ERS в высокочастотном диапазоне (гамма).
Расшифровка движений нижних конечностей с помощью EEG остается менее изученной по сравнению с расшифровкой движений верхних конечностей, и общепринято, что это более сложная задача из-за анатомического расположения корковых областей нижних конечностей, находящихся в небольшой области внутри центральной борозды. У здоровых испытуемых исследования EEG, посвященные расшифровке движений нижних конечностей, часто в сочетании с функциональной электрической стимуляцией или экзоскелетами, показали возможность различать выполнение задачи и состояние покоя, различать различные сложные движения друг от друга и, как правило, достигать результатов выше случайных, в том числе в плане двигательного воображения и выполнения движений левой и правой стопы. В последнее время исследования также расширились и включают декодирование начала движения, непрерывную оценку кинематических переменных и классификацию паттернов двигательного воображения. При переходе к парализованным пациентам лишь небольшая часть парализованных лиц демонстрировала статистически значимую деполяризацию EEG в бета-диапазоне или другие обнаруживаемые корреляты попыток движения. Тем не менее исследования на пациентах остаются ограниченными. Более четкое понимание того, сколько активности нижних конечностей можно декодировать из неинвазивной EEG у пациентов с травмой спинного мозга, является ключом к улучшению нейропротезного управления и разработке практических неинвазивных интерфейсов «мозг-машина».
В рассматриваемом нами сегодня труде ученые изучили возможность декодирования попыток движений нижних конечностей по сигналам EEG у лиц с тяжелым повреждением спинного мозга. Были собраны данные EEG у четырех пациентов с повреждением спинного мозга (один пациент с неполным двигательным повреждением спинного мозга, страдающий дистальной денервацией, и три пациента с полным двигательным повреждением спинного мозга) во время попыток выполнения четырех движений, необходимых для ходьбы (сгибание левого/правого бедра и разгибание колена), в течение четырех сеансов записи. Были охарактеризованы спектральные различия между интервалами выполнения задачи и отдыха и выполнена статистическая оценка их различимости. Затем было использовано машинное обучение для классификации попыток движений по сравнению с отдыхом и подготовки к движению по сравнению с отдыхом. Также была исследована различимость различных типов движений (левое против правого и бедро против колена) с использованием спектральных характеристик.
Результаты исследования

Изображение №1
При анализе полосовых значений ERD/ERS для периодов двигательной попытки и покоя по всей топографии сенсора видно, что ERD в целом преобладает в тета-, альфа- и бета-диапазонах (1a — первая сессия каждого пациента). Хотя ERD/ERS, как правило, распределены по большим участкам кожи головы, в некоторых случаях очаговые ERD можно обнаружить в центральных каналах (например, бета-диапазон в P1S1; тета-, альфа- и бета-диапазоны в P2S1; тета- и альфа-диапазоны в P3S1). При анализе средних значений ERD/ERS по диапазонам (1b) заметно, что на более низких частотах, как правило, наблюдаются большие значения ERD. В гамма-диапазоне ERS можно наблюдать спорадически. Как отмечают ученые, за исключением выраженной тенденции к десинхронизации, связанной с выполнением задачи, очень сложно установить другие повторяющиеся тенденции.

Изображение №2
Более подробная характеристика спектральных различий между интервалами попыток выполнения движений и периодами покоя представлена выше, где показаны значимые кластеры пространственно-частотных характеристик в центральных каналах. Видно характерное поведение спектра 1/f, типичное для кортикальных сигналов, где пик обычно присутствует в соответствии с альфа/бета-частотами. Статистические различия, как правило, соответствуют низкочастотным диапазонам мощности (тета, альфа, бета, но очень редко гамма), включая, помимо прочего, частотные интервалы, демонстрирующие вышеупомянутые спектральные пики. У пациентов P1-2 наблюдаются статистически значимые кластеры в тета, альфа и бета диапазонах во всех сессиях, в то время как у пациентов P3-4 значимые кластеры наблюдаются только в первой сессии.

Изображение №3
Выше показаны результаты декодирования отдельных попыток движения по сравнению с состо��нием покоя как с точки зрения точности классификации по всем повторным выборкам Монте-Карло (3a), так и средних матриц ошибок (3b). Видно, что пациенты P1-2 в целом получают результаты выше случайного уровня, в то время как пациенты P3-4 показывают гораздо более низкие результаты, причем в нескольких сессиях классификация «задача против покоя» не достигла статистической значимости.

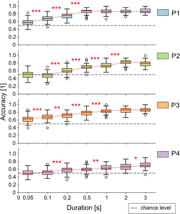
Изображение №4
Выше показана зависимость точности классификации «задача против покоя» от длительности окон декодирования сигнала. Видно, что эффективность, как правило, повышается с увеличением длительности окна, достигая в большинстве случаев плато. Такое плато демонстрирует некоторую обратную корреляцию со средней эффективностью классификации «задача против покоя», так, например, оно наблюдается при наименьшей длительности (0.5 с) у пациента P1 (демонстрирующего наилучшую эффективность декодирования) и при наибольшей длительности (3 с) у пациента P4 (демонстрирующего наихудшую эффективность декодирования), в то время как у пациентов P2 и P3 оно имеет промежуточные значения (2 и 1 с соответственно).

Изображение №5
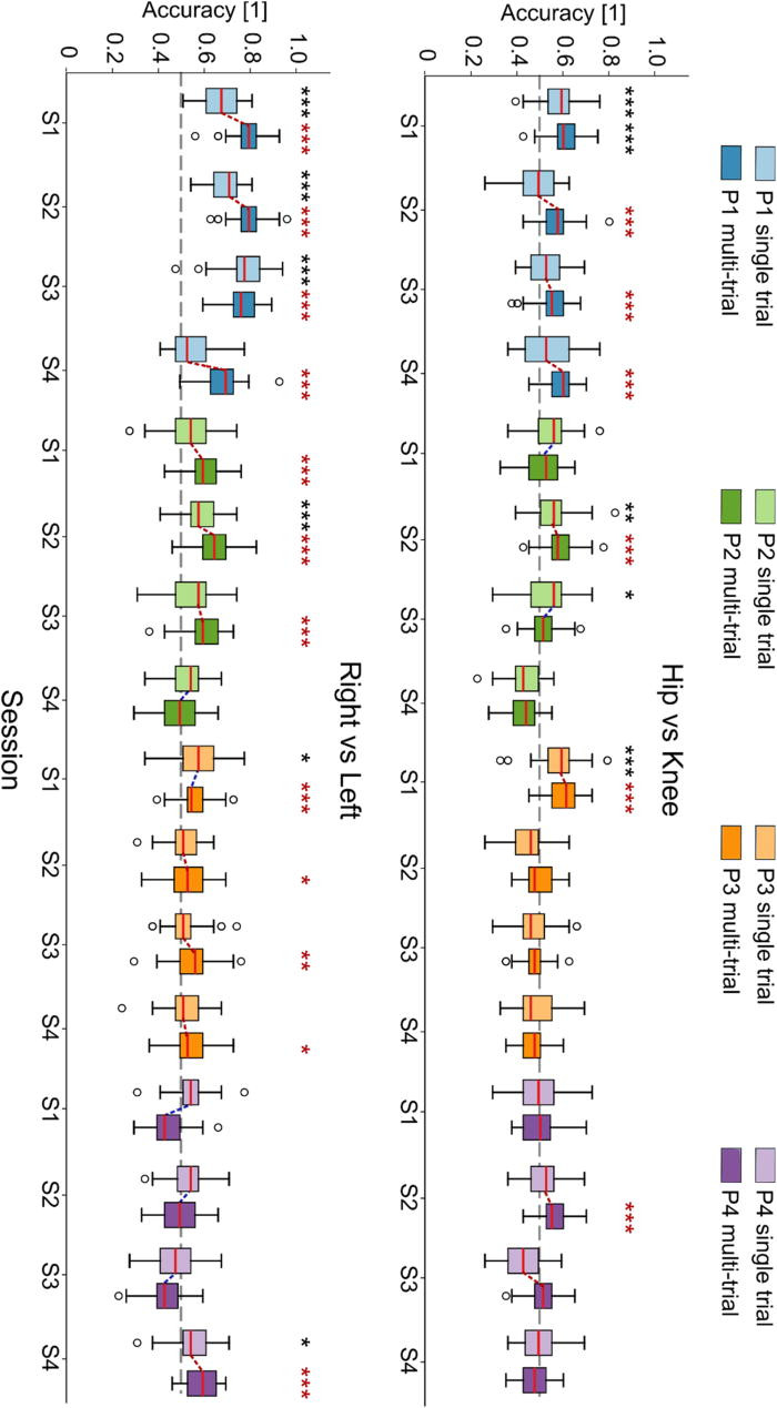
Выше показана эффективность декодирования для задач классификации «правая сторона против левой» (5a) и «колено против бедра» (5b) в виде диаграмм размаха распределения точности для каждого пациента и сессии, как для однооконного, так и для многооконного подходов. В целом, при декодировании в рамках одной попытки пациент P1 является единственным, кто демонстрирует результаты выше случайного уровня на протяжении более чем одной сессии, и единственным, у кого удалось различить попытки движений бедра и колена. В любом случае стоит отметить, что даже при статистически значимом превышении случайного уровня средняя точность декодирования для пациентов P2-4 в задаче «левая сторона против правой», а также для пациента P1 в задаче «бедро против колена» всегда ниже 0.60.
При многооконном декодировании количество статистически значимых сессий примерно удваивается как для классификации «бедро против колена», так и для классификации «правая против левой». В таких случаях медианная точность по 50 повторным выборкам возрастает за счет объединения нескольких оценок, что указывает на наличие информации для различения двух состояний. Только в нескольких сессиях, в которых точность в отдельных испытаниях была близка к случайному уровню (например, колено против бедра: P2S1, P2S3; правая против левой: P2S4, P4S1), медианная многооконная точность снижалась. В условиях многооконного декодирования матрицы ошибок, как правило, имеют диагональную форму, что указывает на то, что повышение точности отражает фактическое улучшение классификации, а не смещение или дисбаланс классов.

Изображение №6
Наконец, выше представлены результаты декодирования «правая сторона против левой стороны против остального» с использованием трехклассового классификатора. На 6a показаны диаграммы размаха точности декодирования при различных перевыборках, а на 6b — матрицы ошибок классификации. Хотя видно, что точность трехклассовой классификации почти систематически выше случайного уровня 6a, это в основном обусловлено высокой способностью трехклассовых классификаторов различать образцы, связанные с задачей (состоящие из образцов попыток движения влево и вправо), и образцы остального уровня. Когда бинарная классификация «задача против остального» была выше случайного уровня (изображение №3), матрицы ошибок имеют диагональную структуру; в других случаях классификатор демонстрирует склонность распознавать образцы как принадлежащие к классу задачи, вероятно, потому что он более представлен в сбалансированном обучающем наборе «правая сторона против левой стороны против о��тального». На 6b показано, что трехклассовое декодирование обеспечивает различение левой и правой стороны, превышающее случайный уровень, в течение трех из четырех сессий с участием пациента P1.
Выводы по наблюдениям
В данной работе ученые исследовали возможность декодирования попыток движений нижних конечностей у четырех пациентов с различной степенью тяжести повреждения спинного мозга, а именно: одного пациента с ASIA C (P1), одного пациента с ASIA B (P4) и двух пациентов с ASIA A (P2-3), в течение четырех экспериментальных сессий. Были визуализированы паттерны ERD/ERS попыток движений относительно состояния покоя (изображение №1). При этом наиболее заметные компоненты проявлялись в виде ERD в низкочастотных диапазонах (тета, альфа и бета). Статистический анализ подтвердил значительные спектральные различия в центральных областях (изображение №2), что согласуется с литературными данными по декодированию EEG, связанной с движениями верхних конечностей, и по декодированию движений рук и ног.
Классификация попыток движения по сравнению с состоянием покоя в отдельных попытках, как правило, превышала случайный уровень (изображение №3), что согласуется со статистическими различиями, наблюдаемыми в спектральных характеристиках. Значительное снижение точности у пациентов P2 и P3 в сессиях со второй по четвертую по сравнению с первой может быть вызвано трудностями в поддержании мотивации на протяжении длительных калибровок с разомкнутым контуром, где пациенты с полным повреждением спинного мозга не имеют ни кинестетической, ни визуальной обратной связи. Производительность может быть повышена за счет использования обратной связи с замкнутым контуром или тренировки в виртуальной реальности. Однако, поскольку ученых интересовало установление базовой осуществимости, а не оптимизация производительности, они намеренно использовали протокол с разомкнутым контуром, чтобы минимизировать потенциальные искажения, связанные с адаптивным обучением или модуляцией производительности на основе обратной связи.
Если рассматривать сеансы, менее подверженные влиянию ежедневных психологических факторов, особенно первый сеанс для каждого пациента, результаты соответствуют результатам, представленным для двигательного воображения и попыток моторных движений в аналогичных исследованиях на основе EEG, при этом точность обычно колеблется от 63% до 75% при полной травме спинного мозга и от 75% до 85% у здоровых испытуемых. Действительно, тенденция к более высокой точности декодирования у пациентов с неполной травмой спинного мозга (P1) по сравнению с пациентами с полной травмой (P2–P4) согласуется с предыдущими исследованиями, показывающими, что неполная травма спинного мозга связана с кортикальной активацией и результатами двигательного воображения, более схожими со здоровыми испытуемыми, тогда как полные травмы обычно демонстрируют более низкую точность и измененные паттерны ERD/ERS. Также важно отметить, что большинство этих предыдущих исследований были сосредоточены на движениях верхних конечностей, в то время как в данной работе изучались попытки движений нижних конечностей, которые обычно дают более слабые сигналы EEG из-за более глубоких и медиальных кортикальных представлений областей ног.
Выбор классификатора машинного обучения на основе деревьев решений был в первую очередь мотивирован его устойчивостью и надежностью в сценариях с ограниченными и гетерогенными наборами данных. Такие методы, как XGBoost, демонстрируют больший контроль над переобучением по сравнению с глубокими нейронными сетями, которые обычно требуют больших и однородных наборов данных и обширной оптимизации гиперпараметров для эффективного обобщения. Кроме того, в предыдущих исследованиях сообщалось, что методы классификации на основе деревьев решений достигают конкурентоспособных или превосходящих результатов в задачах декодирования EEG, включая двигательное воображение, даже при ограниченной доступности д��нных.
Результаты, представленные на изображении №4, показывают, что приблизительно 1 секунды сигнала о попытке движения достаточно для надежной идентификации этой попытки, что позволяет достичь баланса между временным разрешением и точностью классификации. Этот временной интервал подходит для приложений, требующих дискретного или тонического управления, а не непрерывной модуляции. Например, такие сигналы можно использовать для запуска протоколов циклической стимуляции для инициирования функциональных действий, таких как вставание или начало ходьбы. Эти упрощенные стратегии управления могут быть более надежными и осуществимыми, чем мгновенное управление в присутствии шумных или переменных сигналов EEG. Поэтому будущие парадигмы должны согласовывать сложность задач управления с надежностью подхода нейронного декодирования, учитывая такие факторы, как усталость и необходимость корректировок в реальном времени более интуитивным и адаптивным способом.
Высокая степень различимости между состоянием выполнения задачи и состоянием покоя, независимо от конкретных выполняемых движений, дополнительно открывает возможности для интуитивно понятных систем управления. Можно ожидать, что попытки движений бедра будут систематически сложнее идентифицировать, чем движения колена, из-за расположения соответствующих кортикальных областей, но результаты показывают обратное. Этот вывод предполагает возможность разработки декодеров, которые избирательно контролируют движения определенных суставов, позволяя пациентам управлять электрической стимуляцией, пытаясь выполнить желаемое движение напрямую, без необходимости использования механизмов замещения (таких как управление разгибанием колена путем попытки сгибания бедра). Кроме того, в случае пациента P1 в трех из четырех сессий удалось выполнить декодирование трех классов с вероятностью выше случайной, что может позволить разработать потоки управления, требующие различения двух-трех классов в любой момент времени, где субъект должен принимать решения высокого уровня для изменения протокола активной электрической стимуляции.
Различение движений левой и правой стороны, а также движений бедра и колена было возможно в некоторых случаях, хотя в целом точность декодирования не превышала случайный уровень. В целом, различение левой и правой сторон достигало более высокой точности, чем различение движений бедра и колена. Это согласуется с данными литературы: например, декодирование движений нижних конечностей левой и правой стороны у здоровых испытуемых достигало лишь незначительного превышения случайного уровня (в среднем 63%), увеличиваясь примерно до 80% при использовании бета-отскоков после визуализации. Однако такой подход не подходит для интуитивного управления в реальном времени, поскольку он задерживает декодирование до тех пор, пока намерение движения не будет завершено, что приводит к временному несоответствию между намерением и выполнением, которое может снизить реабилитационные преимущества.
Ожидается, что результаты у парализованных испытуемых будут значительно ниже. Некоторые данные указывают на латерализацию нейронного ответа, что было получено с использованием общих пространственных паттернов, однако явной попытки декодирования «лево» или «право» не предпринималось, и для определения необходимости левого или правого шага использовался конечный автомат. В соответствии с этими наблюдениями, анализ с использованием CSP в парадигме «задача против покоя» также показал в целом более низкую точность классификации по сравнению с использованием спектральных характеристик мощности. Это предполагает, что пространственная фильтрация, введенная CSP, может неэффективно улавливать распределенную кортикальную динамику, связанную с этими движениями.
Декодирование «бедро против колена» показало, в целом, результаты на уровне случайности, вероятно, из-за анатомических ограничений. Кортикальные области, контролирующие проксимальные и дистальные движения нижней части тела, действительно расположены в непосредственной близости, что снижает их пространственную разделимость в сигналах EEG. Кроме того, наличие полных поражений позвоночника у большинства пациентов, вероятно, ухудшило их способность избирательно фокусироваться на вызывании желаемых движений.
Инвазивные решения, такие как EcoG, демонстрируют гораздо более высокую точность в различении левой и правой сторон, что согласуется с гораздо более высоким пространственным разрешением, достигаемым за счет размещения некоторых датчиков непосредственно на левом и правом полушариях, что позволяет четко разделять кортикальные корреляты левой и правой сторон. Тем не менее эффективность классификации существенно снижается при попытке расшифровать движение различных суставов, аналогично тому, что было показано в данном исследовании.
Многооконный анализ классификации, сравнивающий левую и правую стороны, а также тазобедренный и коленный суставы, показал, что точность классификации может быть улучшена за счет объединения нескольких прогнозов. Хотя в среднем эти улучшения точности незначительны, они приводят к существенному увеличению числа классификаций выше случайного уровня, что указывает на наличие обнаруживаемых нейронных модуляций и предполагает, что повышение эффективности может быть достигнуто с помощью больших обучающих наборов данных или обратной связи в виртуальной реальности.
Фундаментальным шагом на пути к клиническому применению неинвазивного декодирования станет определение доступных степеней свободы для управления нейропротезом, например, посредством электрической стимуляции или экзоскелета. В этом исследовании ученые признают, что точность декодирования в некоторых сессиях приближалась к случайному уровню, даже у участников с наилучшими результатами, что отражает присущую сложность декодирования движений нижних конечностей по сигналам EEG с поверхности головы. Тем не менее лонгитюдный дизайн (сбор данных за несколько сессий в течение нескольких месяцев интенсивной реабилитации с использованием стимуляции спинного мозга) позволил оценить временную динамику и стабильность эффективности декодирования, предоставив информацию о том, как может меняться классификация на основе EEG с течением времени. Эти результаты показывают, что, хотя многоклассовое декодирование остается сложной задачей, более простые стратегии управления, такие как бинарные переключения или выбор программы стимуляции, специфичной для активности, на основе конечных автоматов, могут быть реально достижимы с использованием записей EEG без необходимости более инвазивных подходов.
В целом, полученные результаты следует рассматривать скорее как базовую оценку осуществимости, а не как доказательство эффективности на клиническом уровне. Они демонстрируют потенциал EEG для регистрации дискриминантных характеристик, связанных с движениями нижних конечностей, и для использования в качестве неинвазивного входного сигнала для запуска или модуляции конкретных программ стимуляции спинного мозга. Будущие исследования с участием больших групп пациентов с травмами спинного мозга будут иметь важное значение для дальнейшего изучения потенциала и ограничений EEG в качестве управляющего сигнала для систем нейромодуляции.
Для более детального ознакомления с нюансами исследования рекомендую заглянуть в доклад ученых и дополнительные материалы к нему.
Эпилог
В рассмотренном нами сегодня труде ученые провели исследование потенциала применения EEG в качестве основного источника управления сигналами для систем нейромодуляции для пациентов с полной или частичной SCI (от spinal cord injury, т. е. травма спинного мозга).
У многих пациентов с SCI сохранена целостность нервных окончаний в конечностях и нормальная работа мозга, но повреждение спинного мозга, служащего мостом между ними, не позволяет пользоваться конечностями (в данном труде исследовались случаи с нижними конечностями).
Ученые решили установить, может ли EEG (от electroencephalography, т. е. электроэнцефалография) стать новым мостом между ногами и мозгом. Их исследование было сосредоточено на определении того, может ли EEG улавливать сигналы мозга, связанные с движением, и потенциально восстанавливать их связь с телом.
Даже при параличе конечностей, когда человек пытается ими двигать, мозг продолжает генерировать соответствующую электрическую активность, связанную с этим действием. Обнаружение и декодирование этих сигналов позволит передать их на стимулятор спинного мозга, который активирует нервы, ответственные за то или иное движение.
Большинство исследований в этой области связано с использованием инвазивных имплантов для регистрации сигналов мозга. Такие методы показывают хорошие результаты, однако ученые хотели понять, может ли неинвазивный метод EEG стать альтернативой.
Использование EEG для расшифровки попыток движения выходит за пределы возможностей современных технологий. Поскольку электроды ЭЭГ располагаются на поверхности головы, им трудно улавливать сигналы, исходящие из более глубоких слоев мозга. Это ограничение менее проблематично для движений рук и кистей. Сигналы, управляющие ногами и ступнями, сложнее обнаружить, поскольку они исходят из областей, расположенных ближе к центру мозга.
Для более точного анализа данных ЭЭГ ученые использовали алгоритм машинного обучения, разработанный для работы с небольшими и сложными наборами данных. Во время тестирования пациенты носили ЭЭГ-шапочки, выполняя серию простых движений. Команда записывала результирующую активность мозга и обучала алгоритм сортировать сигналы по различным категориям. Система успешно различала моменты, когда пациенты пытались двигаться, и моменты, когда они оставались неподвижными. Однако ей было трудно различать разные попытки движения.
Ученые считают, что их метод можно улучшить в будущем. Они планируют усовершенствовать алгоритм, чтобы он мог распознавать конкретные действия, такие как стояние, ходьба или лазание. Они также надеются изучить, как эти расшифрованные сигналы могут быть использованы для активации имплантированных стимуляторов у пациентов, восстанавливающихся после травм спинного мозга.
Немного рекламы
Спасибо, что остаетесь с нами. Вам нравятся наши статьи? Хотите видеть больше интересных материалов? Поддержите нас, оформив заказ или порекомендовав знакомым, облачные VPS для разработчиков от $4.99, уникальный аналог entry-level серверов, который был придуман нами для Вас: Вся правда о VPS (KVM) E5-2697 v3 (6 Cores) 10GB DDR4 480GB SSD 1Gbps от $19 или как правильно делить сервер? (доступны варианты с RAID1 и RAID10, до 24 ядер и до 40GB DDR4).
Dell R730xd в 2 раза дешевле в дата-центре Maincubes Tier IV в Амстердаме? Только у нас 2 х Intel TetraDeca-Core Xeon 2x E5-2697v3 2.6GHz 14C 64GB DDR4 4x960GB SSD 1Gbps 100 ТВ от $199 в Нидерландах! Dell R420 – 2x E5-2430 2.2Ghz 6C 128GB DDR3 2x960GB SSD 1Gbps 100TB – от $99! Читайте о том Как построить инфраструктуру корп. класса c применением серверов Dell R730xd Е5-2650 v4 стоимостью 9000 евро за копейки?
Автор: Dmytro_Kikot


