Смартфоны быстро вошли в обиход и стали типом телефонов по умолчанию. Согласно данным Исследовательского центра Пью, у 98 % взрослых жителей США есть сотовый телефон хоть какого-то типа; при этом в девяти из десяти случаев это будет именно смартфон. В отдельных группах населения распространённость смартфонов ещё выше: лишь у 3 % американцев в категории от 18 до 29 лет нет смартфона. В России показатели схожие. В опросе ВЦИОМ 2024 года участвовали 100 людей, которые родились в 2001 году и позднее, но среди них не нашлось ни одного зумера без смартфона. Люди с обычным сотовым телефоном обнаруживались лишь в значительно более старших поколениях, до 1981 года рождения.
Вообще, этот опрос ВЦИОМ выяснял не проникновение сотовой связи и смартфонов, а зависимость от них. В тексте исследования подробно объясняется термин «номофобия» — страх остаться без мобильного телефона. Слово отлила в граните британская почта для исследования, проведённого по её заказу в центре YouGov в 2008 году. На тот момент речь шла даже не о смартфонах, а обычных кнопочных звонилках, и после бума смартфонов значение термина поменялось.

Слово-то какое придумали — «номофобия»… По удивительной причине всегда принято рассматривать эффект смартфонов с этой позиции какой-то полунаркотической зависимости, непреодолимого порока, с которым нужно бороться. Но если отойти от морализаторства, то смартфон всё же оказывается не столько наркотиком, сколько новой средой, карманным источником новизны, социального подкрепления и бесконечных микропереключений внимания. Как это всё влияет на мозг?
1. А давай бояться вместе?
У мобильного Интернета есть эффект психологической новизны, которой мир доселе не видывал.
Речь не про возможность спорить с незнакомцами или смотреть фотографии котов и голых женщин, речь про всепроникаемость и доступность из любого места. Чтобы выйти в Интернет, раньше к стационарному компьютеру подключали модем, который истошно вопил; всё остальное время человек находился не в Сети. В Интернет именно заходили, а теперь в офлайн больше не сбежать. Интернет стал пассивным слоем нашего существования.
В таких условиях смартфон — это испытание для внимания и эмоциональной регуляции. Проблема даже не в том, что люди часами пялятся в экран. Ограничения экранного времени тут не помогут. Проблема — это сама архитектура постоянной доступности: поток уведомлений, привычка проверять и бесконечные ленты новостей.
С точки зрения когнитивной нагрузки, самое дорогое — это переключение внимания. Ещё до эпохи смартфонов неоднократно экспериментальным путём выяснялось, что даже при кратких переключениях человек на какое-то время становится медленнее, чаще ошибается и хуже удерживает контекст (doi:10.1037//0096-1523.27.4.763, doi:10.1016/S1364-6613(03)00028-7). Если такие микропереключения происходят несколько раз в течение рабочего дня, то часть внимания каждый раз застревает на предыдущем деле, и следующая задача выполняется хуже (doi:10.1016/j.obhdp.2009.04.002). Удивительно, но переключение внимания до́рого даже в тех случаях, когда отвлекающий фактор предсказуем и не является неожиданностью (doi:10.1037/0096-3445.124.2.207).
Исследований про смартфоны тоже много.
На самом деле там очень много страшилок, на основе которых можно выстроить любую картину мира. Например, легко показать, что мобильный телефон — ужасное изобретение, которое полностью парализует любую умственную деятельность. Вот лишь три примера, где всё очень плохо.
Пример первый: смартфон мешает одними только сигналами. Микросрывы концентрации и автоматизма от звуков уведомлений случаются даже в тех случаях, если владелец не посмотрел пуш. В одном из исследований это выяснили, заставив 212 студентов выполнять монотонную задачу на устойчивое внимание (doi:10.1037/xhp0000100).
Участники заполняли форму регистрации, где в числе прочего был номер телефона. О целях эксперимента их не уведомляли, и кстати, в конце просили рассказать, а что тут вообще тестируется. Задача разбивалась за две части, и в первой половине никто ни от чего не отвлекал. За минутным перерывом следовал второй блок, во время которого случались отвлекающие стимулы: либо звонок на телефон, либо текстовое сообщение, часть подопытных ничем не отвлекали. Данные от 46 человек отбросили: 20 отвлеклись на телефон, у 13 аппарат во время эксперимента был вовсе отключён, ещё 9 поставленную задачу выполняли слишком плохо, чтобы попасть в выборку.
Даже без графиков легко предугадать результат анализа поведения этих 166 человек: качество работы падает от одного только звука уведомления, фокус на задаче снижается. Авторы исследования утверждают, что звук смартфона отвлекает в схожей степени, которая была обнаружена в исследованиях про невнимательное вождение.
Пример второй: даже если немного отдохнуть в телефоне, то производительность рухнет. Как утверждает другое исследование, короткий перерыв на торчание в смартфоне может нарушать внимание (doi:10.1038/s41598-023-50354-3). 80 участников выполняли два раунда психомоторного теста на бдительность. Делали они это до и после перерыва на 45 минут, проведённых либо за обычным использованием смартфона, либо в контрольном условии (просмотр нейтрального документального фильма). В исследовании также был второй эксперимент, где на 40 участниках тестировалось торможение реакции с тем же перерывом.
И смартфон, и просмотр фильма повышали субъективную усталость и сонливость. Но когнитивное падение проявилось только в первом случае. После 45 минут в смартфоне ухудшалась бдительность (реакции в тесте становились медленнее), а в задаче на торможение росло число ошибок.
Пример третий: невозможно адаптироваться к переключению внимания. Кто-то может возразить: я привык, могу с лёгкостью читать чат и листать ленты, поэтому мне легче переключать внимание. С этим не согласятся выводы научной статьи 2009 года, где обсуждалась склонность к потреблению нескольких потоков контента одновременно (doi:10.1073/pnas.0903620106).
В рамках этого исследования вводился индекс медийного мультитаскинга, который замерял, сколько разных медиа человек склонен потреблять одновременно. Понятно, что по пятам за подопытными не ходили, это опять было анкетирование и деление на группы на его основе. Речь шла про как видео, музыку и компьютерные игры, так и телефонные звонки — многие смотрят YouTube и одновременно во что-то играют, например. Кстати, переписка в мессенджерах поначалу тоже была, но потом из анализа её выкинули из-за невозможности учесть потраченные на неё часы.
Затем участники проходили разные тесты на когнитивный контроль: фильтрация лишних стимулов, подавление нерелевантных представлений в памяти, переключение между задачами. К примеру, среди нужных объектов на компьютерном экране есть отвлекающие. Участнику исследования надо не пускать их в рабочую память и правильно ответить на вопрос в конце. Это было не прорешивание математических тестов, это слежение за прямоугольниками на экране.
Выяснилось, что у любителей потреблять много потоков контента не просто хуже с фильтрацией отвлекающих стимулов и подавлением нерелевантного, также им сложнее переключаться между задачами. Трудно судить о причинах. Возможно, люди с определённым профилем внимания охотнее уходят в многопотоковое потребление. Или наоборот, многопотоковое потребление со временем делает фильтры хуже. В любом случае, иммунитета к отвлеканию в этой работе не обнаруживается.
И это не единичный пример. В 2023 году вышел метаанализ по подросткам и молодым взрослым, который собирает результаты десятков работ по так называемому медиамультитаскингу (doi:10.1007/s10648-023-09746-0). Там в общей сложности учитывались 43 исследования и 118 эффектов. Итог более аккуратный, но всё равно оптимизма не внушает: в среднем связь между медийным мультитаскингом и когнитивным контролем отрицательная, причём сильнее всего проседают торможение и рабочая память. А вот когнитивная гибкость как отдельная функция не обязательно отличается.
Вообще, если продолжать тему медиамультитаскинга, то одна из работ привязывает забывание к моментным провалам внимания, причём ловит эти провалы не только опросником, но и физиологическими маркерами (doi:10.1038/s41586-020-2870-z).
80 так называемых молодых взрослых, набранных по объявлению в районе Стэнфорда (скорее всего, опять студенты), выполняли задачу на эпизодическую память, пока у них измеряли ЭЭГ и диаметр зрачка. Авторы извлекали показатели внимания за секунду до появления ключевых сигналов в пробе. Условно, происходило это в тот момент, когда мозг должен собраться и настроиться на цель воспоминания. Оказалось, что если прямо перед этим моментом у человека наблюдается паттерн, характерный для провала внимания (определённые изменения в альфа-ритме на ЭЭГ и в зрачке), то вероятность провала памяти возрастает. Происходило это не после того, как он уже ошибся, а до, на стадии подготовки.
Исследователи связали эффект с устойчивыми индивидуальными различиями: у кого в целом больше склонность к просадкам во внимании, тот в среднем хуже помнит, при этом более тяжёлый мультитаскинг ассоциирован с большей склонностью к провалам во внимании и с худшей памятью. Показатели устойчивого внимания частично объясняют эту связь.
2. Призрачная угроза
Три примера выше пугают, но на деле не всё так плохо.
Во-первых, легко критиковать подобные исследования за их ограниченность. Как им можно верить? Организаторы этих экспериментов заставляют участников проходить непродолжительный лабораторный тест, а затем ищут статистические закономерности.
Есть работы, где выводы делают на основе куда более длительного наблюдения за обычной жизнью. В одной из таких статей описывается, как участники жили неделю с телефонными уведомлениями, а неделю без бесшумном режиме (doi:10.1145/2858036.2858359).
221 студент две недели жил по строго заданным правилам: одну неделю — в режиме максимальных прерываний (уведомления включены, телефон в пределах видимости и/или досягаемости), другую — полный дзен и покой (режим без звуков, вибраций и визуальных сигналов, телефон убирается из поля зрения). Порядок недель выбирался случайно. Каждый день участники заполняли короткие опросы, в конце недели — большой. Важно, что эти опросники рассеяности и дёрганности были составлены не от балды, а по критериям пятого издания популярного в США «Диагностического и статистического руководства по психическим расстройствам». Говоря проще, это было что-то типа вопросов из тестов на симптомы синдрома дефицита внимания и гиперактивности.
Важно: здесь нет попытки утверждать, что пуши в смартфонах вызывают СДВГ. Диагноз такого уровня по симптомам за неделю не ставится, а в исследовании был просто самоотчёт по симптомам. Вопрос в том, что подобная цифровая среда усиливает выраженность симптомов у вполне обычных и здоровых людей.
Гипотеза была выбрана правильно. Действительно, режим постоянной прерываемости делает внимание рыхлым. В шумные недели возникает небольшая, но статистически заметная разница, симптомов невнимательности и гиперактивности в среднем больше. Ощущения были неприятные: чем сильнее расползалось внимание у конкретного участника во время недели с прерываниям, тем ниже он оценивал свою продуктивность и тем хуже чувствовал контроль над жизнью, терялись смысл и связанность с людьми. Однако продуктивность изменилась мало.
Есть работы, где масштаб исследования достигает не сотни-другой студентов, а целой страны. В одном из самых известных анализов задействовали репрезентативную выборку 120 тысяч 15-летних подростков Британии и посмотрели, как меняется субъективное благополучие в зависимости от количества времени у экрана (doi:10.1177/0956797616678438). Опросник этого исследования разбивал время за экранами на виды занятий (видеоконтент, игры, компьютер, смартфон) и отдельно делил на будни и выходные дни.
В этом исследовании негативные эффекты ожидаемо обнаружились. Если за экраном проводить избыток времени, это плохо отразится на шкале психического благополучия. Но что удивительно, если не перегибать палку, то время за экранами поначалу будто идёт на пользу. Если конкретно, то оптимальное время за смартфоном в будни — 1 час 57 минут. Нужно разве что заметить, что смартфоны и видеоигры (оптимальное время — 1 час 40 минут) как развлечение быстрее начинают портить нервы, чем просмотр видеоконтента (3 часа 41 минута) или просто пользование компьютером (4 часа 17 минут).
Вот только не надо думать, что если выборка больша́я, то результаты всегда будут обнадёживающие. При желании легко обнаруживаются исследования с вредом от смартфонов. Вот пример с похожим порядком числа участников: в 2025 году команда Sapien Labs опубликовала работу о цифровом детстве на данных Global Mind Project (doi:10.1080/19452829.2025.2518313), в которой взяли более 100 тыс. молодых людей от 18 до 24 лет и сравнили их текущее ментальное здоровье (интегральную самооценку по 47 симптомам и функциям) с возрастом первого смартфона. В среднем получается простая картинка: чем раньше смартфон появляется в жизни (особенно до 13 лет), тем ниже итоговый показатель и тем чаще встречаются неприятные вещи вроде суицидальных мыслей, агрессии и ощущения оторванности от реальности. Вообще, эта научная статья призывает задуматься об ограничениях доступа и ответственности платформ для детей до 13 лет.
Во-вторых, каким бы ни был обнаруживаемый вред, даже относительно непродолжительный отказ от смартфонных утех ведёт к немедленным позитивным изменениям.
Один из самых обнадёживающих экспериментов последних лет — это рандомизированное исследование с блокировкой мобильного Интернета на смартфоне (doi:10.1093/pnasnexus/pgaf017). 266 участникам (вообще, предлагалось это сделать 467 подопытным, но часть отказалась) ставили блокировщик и на две недели полностью перекрывали мобильный Интернет, включая Wi-Fi. Ноутбуки и настольные компьютеры никто не отбирал, через них сидеть в Сети не воспрещалось. Через две недели сравнивались внимание, психическое состояние и субъективное благополучие.
Ожидаемо, что люди действительно меньше сидели в телефоне — более чем на два часа меньше экранного времени в сутки. Компенсация через Интернет на других устройствах была, но не равноценная. Участники сообщали, что больше времени уходит на офлайн-активности: общение, спорт, выезды на природу.
Всё стало лучше не только с распорядком дня. Через две недели без мобильного Интернета в тестах gradCPT улучшалось устойчивое внимание. Что ещё более важно, чуть подросли показатели ментального здоровья и субъективного благополучия — эффекты умеренные, но статистически устойчивые.
В-третьих, даже если посмотреть хотя бы парочку обзорных анализов (doi:10.3389/fpsyg.2017.00605, doi:10.1016/j.chbr.2020.100005), то общие результаты противоречивы и о причинности говорить позволяют не всегда. Проблема не только в том, что смартфон — слишком разный объект (приложения, привычки, контекст), но и в том, что поле исследований перегружено корреляциями и самоотчётами, а самоотчётные оценки использования с реальными данными согласуются сла́бо.
В первом метаанализе среди прочего рассказывается про общение в мессенджерах за рулём. В среднем переписка влияет почти на все измеряемые показатели опасного вождения, включая внимание к дороге, реакцию на опасность, удержание полосы и количество аварий. Чтение сообщений без ответа тоже даёт похожие эффекты, но слабее. То есть вред или даже опасность в отдельных сценариях обнаруживается однозначно.
С другой стороны, второй метаобзор прямо замечает, что литература по смартфонам перегружена корреляциями и самоотчётами, а связь между самооценкой использования и реальным использованием часто не находится.
На самом деле обе работы во многом задаются вопросом о закреплении эффектов. И когда речь заходит о долгосрочной деградации — будто смартфоны навсегда ломают внимание, память или самоконтроль — оба обзора высказываются осторожно. Причина не в мягкотелости авторов, а в устройстве данных: много корреляций и самоотчётов, а самооценка использования плохо совпадает с дневниковыми записями. Кроме того, в одной куче часто оказываются несопоставимые сценарии (чаты, навигация, чтение, игры), и усреднение тут легко превращается в среднюю температуру по больнице. Как можно вот так всё валить вместе, если задействуются разные когнитивные функции?
Тем не менее во время выполнения задачи смартфон отбирает внимание. Отвлечение в моменте в обзорных работах под сомнение не ставится. Есть лишь пара замечаний.
-
Авторы первого отчёта в аннотации и в финальных выводах утверждают, что несмотря на растущую литературу про негативные эффекты, возможна и польза для некоторых процессов внимания и контроля. В отчёте высказывается гипотеза о тренировке переключения внимания. Гейминг ведь улучшает когнитивные способности — почему телефон не может?
-
Как напоминает второй отчёт, доменов внимания несколько (селективное, распределённое, бдительность, переключение). Различать нужно потому, что смартфон вмешивается в эти механизмы разными путями: звонок или телефон на столе бьют по селективному вниманию прямо во время текущей задачи, разговор и чат параллельно задаче — по распределённому, а фоновое ощущение вида «вдруг я что-то пропустил» — по бдительности. Цена ошибки у доменов в реальной жизни разная — от мелкого падения точности до запаздывающей реакции на опасность.
При этом уверенно разложить эффект от телефона по конкретным доменам не получается. Замерять абстрактный параметр «внимание» — это именно та самая бессмысленная средняя температура по больнице.
3. Фоновая утечка внимания
Среди прочего в этих двух метаанализах рассказывается, что телефон будет сильно мешать одним своим присутствием. Происходит это на уровне подсознания, человек ничего не замечает.
Сразу несколько научных работ утверждают, что само присутствие смартфона снижает у его обладателя когнитивные способности. Хотя эффект известен как минимум с 2014 (doi:10.1027/1864-9335/a000216), с лёгкой подачи научной статьи 2017 года (doi:10.1086/691462) его прозвали утечкой мозгов.
В исследовании 2017 года 520 студентов проходили тесты OSpan (проверка рабочей памяти под нагрузкой) и укороченную версию матриц Равена (тест на флюидный интеллект и решение новых задач). У всех отобранных для тестов был личный смартфон, и участников случайно разбили на три группы: смартфон на столе экраном вниз, в сумке или кармане, физически находится в другой комнате вместе с другими вещами. Во всех трёх случаях просили отключить не только звук, но и вибрацию, чтобы уведомления никак не мешали.
Как оказалось, даже если он молчит и не вибрирует, чем ближе и заметнее телефон, тем хуже показатели. По мере удаления смартфона когнитивная ёмкость растёт. Что любопытно, после этого участников опрашивали, насколько они задумывались про личный смартфон, и во всех трёх группах ответ был одинаков: «Не думал вовсе». Смартфон вторгался в мысли на уровне подсознания. Более того, большинство участников посчитали, что положение телефона на их результаты никак не повлияло.
Во второй части исследования эксперимент повторили на 275 студентах. На этот раз в группе «телефон на столе» аппарат находился экраном наверх, а некоторых участников просили полностью отключить телефон. Также исследователи слегка поменяли набор заданий и дуэтом к OSpan выбрали задачу на устойчивое внимание и торможение реакции (так называемую cue-dependent Go/No-Go).
Выводы напрашиваются неутешительные. Разницы с положениями мордой в столешницу или экраном наверх нет, поэтому совет перевернуть смартфон не поможет, и внимание всё равно пострадает. Это же относится к совету отключить девайс: статистически значимого эффекта не обнаружено. Как и в прошлых случаях, лучше всего просто убрать смартфон куда-нибудь, и чем дальше, чем лучше.
Как утверждает проведённый после этого опрос, эффект тем сильнее, чем выше субъективная зависимость от смартфона. Студентов дополнительно просили оценить степень эмоциональной привязанности и зависимость, опрос противопоставлял эти две категории. Утверждается, что у людей с низкой зависимостью разница между телефоном рядом и в другой комнате минимальна, в случае с высокой — выражена хорошо. Получается, что чем труднее человеку не думать о смартфоне, тем дороже обходится его присутствие.
Вообще-то существование эффекта ставили под сомнение, к примеру в 2020 году (doi:10.1016/j.concog.2020.103033). Утверждалось, что эффект может быть куда более капризным: он ярко проявляется на задачах вроде OSpan и матриц Равена, но не обязан воспроизводиться на других видах памяти и внимания. В тесте 302 человека оценивали свою комплексную кратковременную память: их заставляли удерживать смысловую информацию (например, изображения), параллельно проговаривая вслух отвлекающие слова. В нагрузку добавили ещё и перспективную память, то есть способность вспомнить о запланированном действии в нужный момент. В итоге присутствовал ли смартфон рядом или нет, но эффекта не было.
Однако исследование 2023 года (doi:10.1038/s41598-023-36256-4) подтверждает, что телефон отвлекает одним своим видом. В этой работе из-за ковидных ограничений тесты проводили в формате видеосозвонов. Каждому из 49 участников эксперимента заранее присылали по почте бумажные материалы теста и просили подготовить рабочее место: пустой стол, ручка, конверт с тестом, компьютер с отключёнными уведомлениями и звуками. Даже домашних предлагалось попросить не отвлекать.
Забавно, но характер эксперимента от участников скрывался до самого конца. Чтобы обеспечить присутствие телефона, перед началом теста присылали видеоинструкцию, которую участник должен был скачать на смартфон и посмотреть прямо перед выполнением задания. После просмотра видео участников просили положить телефон в конкретное место. Как и в прошлый раз, часть подопытных просили оставить телефон экраном вниз, других — убрать из комнаты. Лишь после теста их просили заполнить опросник о зависимости о склонности к зависимости от смартфона. (Кстати, это не пригодилось, потому что ярких случаев для выделения смартфонозависимых найти не удалось).
Показатель интегральной внимательности продемонстрировал статистически значимую зависимость: вместе с телефоном в комнате получалось в среднем 99,71 баллов, без — 108,95. То же относилось к оценке скорости: если смартфон убирался, то в среднем было 108,57 баллов, если оставался в комнате — 98,48. При этом в тестах обе группы отвечали одинаково хорошо, собственно ошибок было примерно одинаково мало.
На самом деле никаких суеверий в эффекте от присутствия выключенного смартфона нет. Падению внимания есть простые объяснения. Как объяснялось выше, даже если уведомление останется непрочитанным, звук от него отвлекает, сбивает с хода мыслей и в конечном итоге вредит производительности (doi:10.1037/xhp0000100). Вполне возможно, что мозг всегда ждёт сигнала от устройства.
В замерах на электроэнцефалографе собственный рингтон уже примерно через 200 мс даёт специфический ответ и усиливает сигнал P3a, считающийся маркером непроизвольного захвата внимания (doi:10.1111/j.1460-9568.2007.05685.x). Известно, что данный маркер мозга отражает ориентирующую реакцию и автоматическое перенаправление внимания на потенциально значимый сигнал новизны. Маркер P3a важен тем, что показывает сам момент непроизвольного перехвата внимания ещё до осознанного решения реагировать (doi:10.1016/j.clinph.2007.04.019).
Именно поэтому не вызывает вопросов, что удаление смартфонов немедленно приводит к улучшению производительности. Самый элементарный замер выглядит так: студенты смотрят 20-минутную видеолекцию, часть делает это с телефонами, у других устройства просят сдать. В итоге первые отвечают лучше, чем вторые (doi:10.1016/j.chb.2018.04.027).
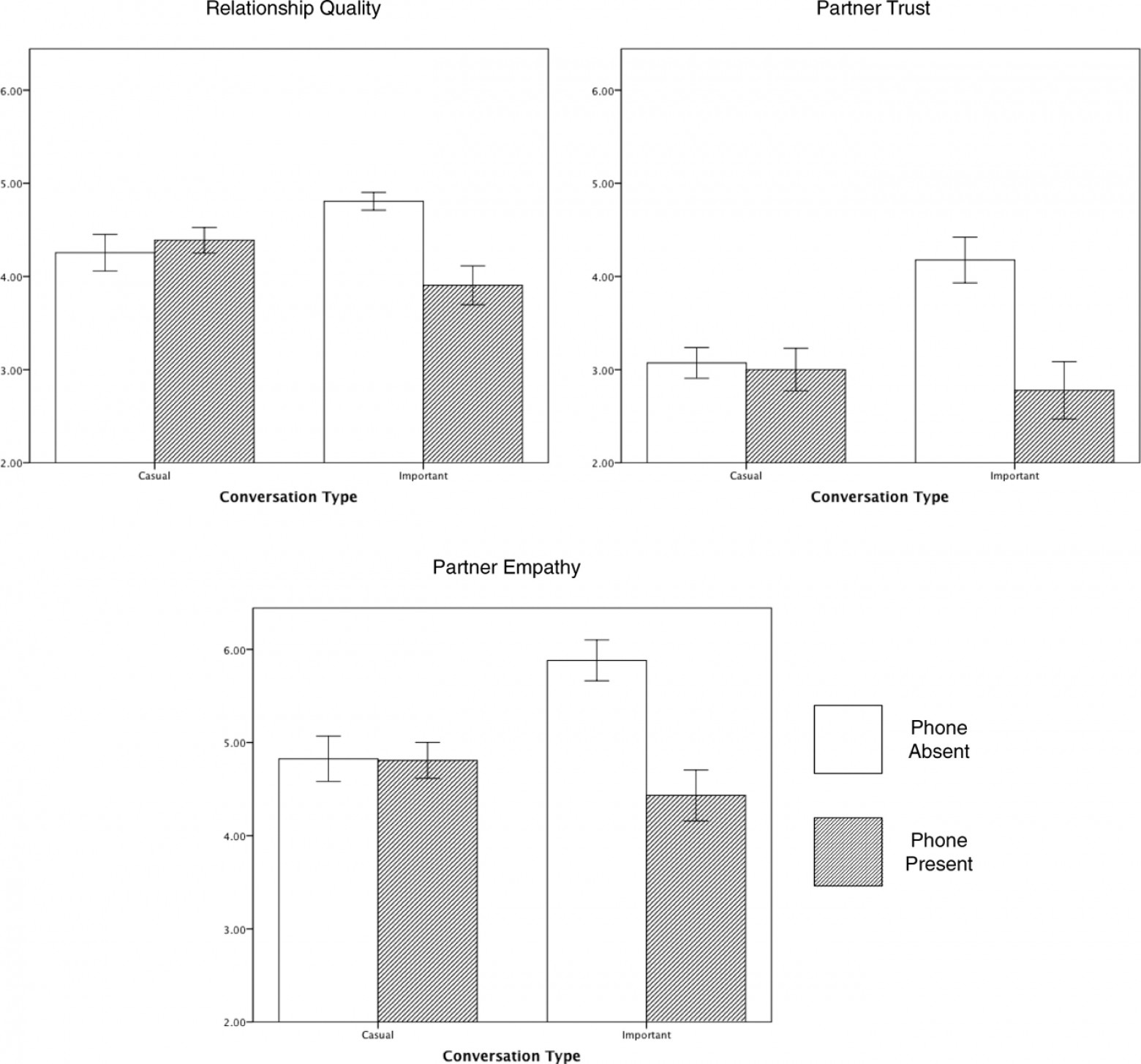
Менее очевидный пример: даже чужие телефоны ухудшают человеческое общение. В исследовании 2013 года незнакомых друг с другом подопытных просили 10 минут обсуждать событие последнего месяца, а затем оценить качество контакта (doi:10.1177/0265407512453827). На основе 10-минутной беседы участников просили рассказать, насколько близким ощущается незнакомец, можно ли с ним подружиться.
В комнате на столе лежала книга, на ней в одном случае находился блокнот, в другом — чей-то, не принадлежащий участникам эксперимента, телефон. В условиях с чужим мобильником люди в среднем чувствовали меньшую близость и хуже оценивали качество возникшей связи.
Исследователи также выявили: телефон мешает не всегда, а в серьёзных разговорах по существу. Парам задавали либо совсем пустяковую тему (обсудить искусственные новогодние ёлки), либо наоборот, максимально личную (самые значимые события прошедшего года). Когда разговор был про ёлки, разницы почти не возникало. Если разговор становился содержательным, одно только присутствие телефона заметно снижало и доверие к собеседнику, и субъективное ощущение, что тебя поняли и отнеслись с эмпатией.
Как обычно, подопытные не всегда осознавали, что на качество общения влиял именно фоновый предмет.
Кстати, про явный урон для межчеловеческих отношений исследований тоже навалом. К примеру, в 2016 году вышла статья про так называемый partner phubbing — ситуацию, когда вторая половинка прямо во время общения отвлекается на телефон (doi:10.1016/j.chb.2015.07.058). Авторы собрали выборку из 145 взрослых и показали неприятную цепочку: чем больше этого партнёрского фаббинга, тем чаще возникает конфликт из-за телефона. Подобный конфликт статистически связан со снижением удовлетворённости отношениями. А дальше уже по цепочке падает субъективное благополучие, эффект даже доходит до жизненной удовлетворённости и депрессивности.
Но вернёмся к утечке мозгов от смартфона с выключенным звуком и без вибрации. Эффект проверялся десятки раз. Научных работ настолько много, что даже вышел не один систематический обзор этих статей (doi:10.3390/bs13090751, doi:10.1080/15213269.2023.2286647).
В метаанализах утверждается, что эффект всё же есть, но такого уж страшного уровня. В среднем присутствие выключенного смартфона даёт небольшой, но устойчивый минус.
Как говорят обзорные исследования, главный кандидат на роль реально страдающей функции — рабочая память. Человеку становится труднее держать в голове промежуточные куски информации и контекст. Именно поэтому утечка мозгов от смартфона на столе заметнее в задачах, где нужно удерживать и перерабатывать материал, а в задачах на простое реагирование или общую cкорость и точность часто вообще отсутствует.
Впрочем, разброс результатов между экспериментами остаётся больши́м: в одних условиях телефон рядом почти не мешает, в других — ощутимо отнимает ресурс, причём участники обычно этого не осознают. Поэтому фоновую утечку мозгов разумнее понимать не как универсальный закон, а как небольшой эффект, зависящий от контекста задачи и того, насколько смартфон психологически значим для человека. Практический вывод отсюда следует вполне приземлённый: когда работа требует удерживать сложный контекст (чтение, письмо, расчёты, код), смартфон лучше убирать из поля зрения и подальше от рабочего места, а не ограничиваться отключением звука с вибрацией.
4. Ломка без смартфона
Как показывают сканы мозга, если у человека забрать его электронную погремушку, то начнётся если не абстинентный синдром, то хотя бы изменения в голове.
Не требует никаких доказательств, что пристраститься можно к чему угодно, и многие цифровые привычки влияют негативно. В датском исследовании конца 2015 года 1095 участников разделили на две группы: одной на неделю запретили пользоваться Facebook², другая жила как обычно (doi:10.1089/cyber.2016.0259). Через неделю у воздерживающихся выросла удовлетворённость жизнью, эмоции стали более позитивными. При этом сильнее всего выигрывали тяжёлые и преимущественно пассивные пользователи, а также те респонденты, кого лента чаще цепляет завистью. Соблюдение условий было неидеальным: часть участников исследования всё равно заглядывала на сайт, а контрольная группа в среднем тоже сократила время в социальной сети Meta¹. Но эффект проявлялся. То есть оценка, скорее всего, консервативная, и на деле эффект должен быть ещё сильнее.
Схожее можно найти про смартфоны. Метаанализ от 2021 года собрал 41 исследование, в которых суммарно было 43 573 участника, и показал, что проблемное использование смартфона статистически связано и с депрессивностью, и с тревожностью (doi:10.1093/pubmed/fdab350). Это не доказательство причинности депрессии, но неплохой маркер: там, где поведение начинает походить на зависимость, психике почему-то нездоровится.
Механизмы привыкания обнаруживаются даже на аппаратном уровне. В прошлом году вышло занятное исследование с функциональной магнитно-резонансной томографией, где участникам устроили 72 часа ограничения смартфона, а затем измеряли реактивность на телефонные стимулы (doi:10.1016/j.chb.2025.108610).
Нужно заметить, что сама идея проверять цифровые пристрастия в аппарате в фМРТ не нова. К примеру, с помощью фМРТ в 2014 исследовали тягу к Facebook² (doi:10.2466/18.PR0.115C31Z8), в 2020 — к Instagram³ (doi:10.3389/fpsyg.2020.556060).
Существуют карты мозга, где для каждого участка оценено, насколько там выражены дофаминовые и серотониновые рецепторы или транспортёры. Авторы смартфонного исследования проверяли, совпадает ли география их эффектов на фМРТ с географией этих нейрохимических систем. Иначе говоря, это не тупо измерение дофамина, а косвенная подсказка, что замеченные изменения ложатся на пути и узлы, через которые обычно работают мотивация, ожидание награды и регуляция настроения.
Организаторы исследования заставили пул кандидатов пройти тесты SAS-SV (проблемность смартфона) и IGDS-sf (игровое расстройство). Фильтр по заданным порогам и отсечка на геймеров (результат в IGDS-sf ниже 6) сократили пул участников до 25 человек возрастом от 18 до 30 лет. В работе этот первый очный визит называют T0.
T1 случился через 72 часа. Это уже первый МРТ, ещё до ограничения. Внутри сканера проводился тест cue-reactivity: нужно было смотреть на картинки и реагировать на них. Участник в псевдослучайном порядке разглядывал картинки нейтральной темы, неактивных смартфонов или смартфонов с включённым экраном, а исследователи изучали реакцию его мозга. Между 20-секундным показом блоков картинок взгляд нужно было 4,8 с фиксировать взгляд на кресте.
Затем следовали те самые 72 часа воздержания от смартфона. В число изъянов работы можно записать то, что соблюдение этого цифрового поста было на совести самих участников: их просто попросили максимально отказаться от смартфона, замещающих устройств и софта в тех случаях, когда это не было напрямую связано с работой, повседневными делами и общением с близкими. Не было даже слежки за соблюдением условий.
Затем участник проходил замер T2. Испытуемых вновь загоняли в аппарат МРТ и включали череду картинок теста cue-reactivity.
После 3 суток самоограничения обнаружились изменения в зонах мозга, связанных с обработкой награды. Эти изменения связываются с вероятностными картами дофаминергической и серотонинергической передачи. Отдельно отмечена связь активности теменной коры с переживанием тяги. (Патологические влечение, непреодолимое желание или craving в отечественной литературе иногда также не переводят как «тяга», но и калькируют как «крейвинг»). То есть потянулись нейрохимические ниточки, которые вообще-то эволюционно предназначены для мотивации и обучения.
Трёхдневное ограничение перенастраивает реактивность на сигналы: мозг начинает по-другому отвечать на изображения смартфона. Наиболее выраженные изменения фиксируются в прилежащем ядре и передней поясной коре — узлах, которые как раз и считаются центральными для ожидания награды, значимости стимула и контроля импульсов.
Также поменялось, как люди видят смартфон. До 72-часового воздержания мозг лучше различал выключенный смартфон и аппарат с горящим экраном (в частности, через участки лобной, теменной и затылочной коры), а после это распознавание становилось слабее. Можно ли сказать, что смартфон будто в целом становится более приоритетным сигналом, а экран горит или нет — это уже мелочи? Яркий экран аппарата уже не так стимулирует, становится важен сам факт, что вот он, родименький смартфончик.
Понятно, что о ломке говорить не приходится. Да, в сканах фМРТ виден какой-то след крейвинга, какая-то нейронная перестройка случилась, но в самоотчётах абстинентного синдрома не нашли. Участников просили проходить анкеты, и за 72 часа воздержания ни депрессивность, ни тяга по опроснику Mannheimer Craving Scale статистически заметно не сдвинулись. Однако авторы признают, что эти тесты вообще предназначены для веществ, поэтому для смартфонов подходить могут плохо, да и трёх суток для выраженного поведенческого эффекта недостаточно.
Кстати, в исследовании выше распределение полов было почти равным: из 25 человек было 13 женщин. В другой похожей работе от этой же исследовательской группы отдельно сравнили мужчин и женщин (doi:10.1186/s13293-026-00835-7).
У мужчин на смартфонные стимулы в среднем сильнее включались сразу несколько распределённых областей — от правой средней лобной извилины и таламуса до теменной, сенсомоторной и затылочной коры. Причём чем выше у мужчины выраженность проблемного использования смартфона (и связанные с ним крейвинг и нарушения сна), тем сильнее была активация правой средней лобной извилины. У женщин картина иная: чем выше проблемность и тяга, тем слабее реагировала правая угловая извилина. Эта же область у них отрицательно связана не только с общим баллом опросника проблемного использования смартфона, но и с тем, насколько смартфон вмешивается в повседневную жизнь.
Асимметрия между полами обнаружилась. Впрочем, научная статья никаких ярких выводов о полах не делает, ограничиваясь сухими медицинскими наблюдениями из зубодробительных терминов. Указывается лишь, что у мужчин при встрече со смартфонным сигналом сильнее подключаются сети исполнительного контроля (как попытка регулировать значимость стимула и крейвинг), а у женщин при росте симптомов слабее мужчин включается теменной узел переориентации внимания.
Также в 2025 году группа выпустила статью, где 36 участников сканировали до и после 72-часового воздержания (doi:10.1016/j.addbeh.2025.108575). На этот раз в эксперименте противопоставлялись не мужчины и женщины, а 19 человек с проблемным использованием смартфона и 17 представителей контрольной группы без такого порока.
Другое важное различие: на этот раз на мозг смотрели в состоянии покоя, то есть на базовую, фоновую активность сетей, когда человек ничего не делает и просто лежит в сканере. Это особенно уместно в разговоре про ломку: абстинентный синдром — это про сдвиг общего состояния регуляции, сна, раздражимости и компульсивности. В остальном методика отличалась мало — первый скан до воздержания, 72 часа ограничений, затем второй скан.
Выяснилось, что в префронтальных и поясных областях (лобная кора, задняя поясная кора) у контрольной группы собственная активность мозга увеличилась, у группы с проблемным использованием смартфона — снижалась. В затылочных участках наблюдался обратный тренд.
Задняя поясная кора — один из центральных узлов сети пассивного режима работы мозга (саморефлексия, блуждание мыслей, пережёвывание контекста). Нижняя лобная извилина и средняя лобная кора — частые участники задач на контроль, торможение, удержание правил. В норме после любого, в том числе короткого детокса можно ожидать, что мозг чуть легче держит внутренний порядок. Здесь же у группы с проблемным использованием смартфона фоновые параметры в этих узлах уходят вниз. У этой группы мозг будто становится менее стабильным в тех компонентах, которые должны помогать выдерживать отсутствие привычного подкрепления.
В отличие от прочих случаев в этом исследовании обнаружились изменения в поведении. Авторы прямо отмечают, что 72-часовое ограничение повлияло на настроение, сон и компульсивность участников.
Обзорная литература по разным анализам с фМРТ даёт смешанную картину.
-
В систематическом обзоре по пристрастию к Интернету и смартфонам с фокусом на когнитивный контроль у подростков и молодых взрослых авторы обнаруживают именно то, что ожидается (doi:10.1016/j.neubiorev.2024.105572). Уязвимые места чаще всего лежат в доменах контроля, внимания и обработки награды, но исследования сильно разнородны по задачам и определениям привыкания.
-
Что-то похожее рассказывает обзор 2023 года (doi:10.1093/psyrad/kkad001). Там избыток времени со смартфоном в руках обсуждают через призму находок нейровизуализации и ограничений поля.
-
Ещё один полезный обзор делает упор на мультимодальные нейровизуализационные данные и механизмы проблемного использования смартфона (doi:10.1016/j.pnpbp.2025.111531).
-
Наконец, есть систематический обзор и метаанализ нейронных коррелятов чрезмерного использования смартфона — хорошая попытка суммировать структурные и функциональные находки в одном месте (doi:10.3390/ijerph192316277).
У этих обзорных работ общий вывод обычно звучит без сенсаций. Указывается, что эта сфера исследований страдает от небольших выборок, зоопарка шкал, самоотчётов вместо записей наблюдений и от того, что под одним словом «смартфон» прячутся десятки разных поведенческих паттернов. При этом смартфонная зависимость в нейровизуализации действительно чаще всего подсвечивает узлы, которые и должны подсвечиваться при любой привычке на стыке вознаграждения, внимания и самоконтроля.
На структурном уровне влияние телефона тоже пытались ловить. Конечно, смартфон дырку в мозге не проест, это не инсульт. Тем не менее в одном из исследований с диффузионно-тензорной визуализацией авторы сравнили целостность белого вещества у контрольной группы и у молодых людей с выраженной зависимостью от смартфона (doi:10.3389/fnhum.2017.00532). В среднем у группы с зависимостью некоторые проводящие пути выглядели менее целостными, показатели микроструктуры оказались хуже, в том числе в пучках, которые соединяют лобные зоны контроля с остальными отделами. Выраженность отклонений в отдельных трактах коррелировала с тяжестью зависимости и поведенческими шкалами.
Однако причинно-следственных связей здесь не продемонстрировано, никто не доказал, что мозги разжижаются. Авторы работы прямо проговаривают обратное: возможно, это такая природная предрасположенность, а не влияние телефона.
5. ОРЗ (очень резко завязал)
Выше находится целая статья о том, что мама была права: носить в кармане смартфон и регулярно получать уведомления — это очень вредно. Как оказывается, полное отключение пушей — вариант тоже так себе.
В одной из научных статей рассматривалась идея как-то дозировать поток уведомлений (doi:10.1016/j.chb.2019.07.016). В этом исследовании сравнивались три способа доставки: как обычно (немедленно), порциями раз в час и три раза в день. Проверялось это на практике. Участники устанавливали на свой андроидофон специальное приложение, которое регулировало пуши.
Эффективность оценивали без лабораторных наблюдателей. Каждый вечер люди заполняли короткие дневниковые опросы про внимание, стресс, тревожность и субъективную продуктивность, а параллельно система пассивно считала, как часто они разблокируют телефон.
Менялся только способ доставки на экран блокировки. Никто не запрещал разблокировать смартфон, открыть приложение и посмотреть, что там понаприходило. Быстро выяснилось, что почасовая дозировка почти ничего не меняет по сравнению с обычным режимом. Оптимальным для внимательности и настроения человека оказался вариант с тремя дайджестами в 9:00, 15:00 и 21:00.
Но это не единственный полезный факт из этой научной статьи. На самом деле была четвёртая опция: без показа пушей вовсе. Как она работала по сравнению с остальными?
Вообще, все четыре опции распределялись случайно: первую неделю участники жили как обычно, а затем приложение на две недели переводило каждого из них в один из четырёх режимов доставки — немедленно, раз в час, три раза в день или вообще без пушей. Самостоятельно выбрать вариант было нельзя. Перед стартом экспериментальной фазы подопытных просто предупреждали, что расписание показа уведомлений сейчас изменится. Вмешательство было жёстким, приложение контролировало настройки и не давало участникам переключить режим обратно по настроению. (За участие в эксперименте платили). Понятно, что нужное приложение можно легко открыть руками и посмотреть уведомления уже в нём.
Как выяснилось, режим без уведомлений — это даже хуже обычного. Да, участники меньше дёргались, но улучшений внимания и концентрации не появилось. Одновременно усилились тревожность и то, что принято называть FoMO, fear of missing out — ощущение, что пропускаешь что-то важное. Группа участников без уведомлений испытывала тревоги даже больше, чем с доставкой пушей как обычно, сразу после их появления.

Необязательно жить под непрерывный звон колокольчика, но и вырубать пуши под корень — тоже сомнительная стратегия. Если отказаться от личного смартфона не получается, лучше приучить себя к нескольким окнам связи в день и пытаться как можно чаще убирать устройство с глаз долой.
Владеющая сайтом социальных сетей Facebook (2) и фотосервисом Instagram (3) транснациональная холдинговая компания Meta (1) — экстремистcкая организация, деятельность всех трёх запрещена.
Автор: atomlib


