Не надо переписывать то, что не поломано
Код к этому посту доступен на Github.
Кодинг при помощи ИИ стал нормой; мы всё больше позволяем моделям наподобие Cursor, GitHub Copilot, Claude Code и Codex вмешиваться в наш код. Если вы в прошлом пользовались каким-то из этих инструментов, то, вероятно, сталкивались с чем-то подобным: вы просите модель устранить простой баг (допустим, ошибку смещения на единицу или не тот оператор). Модель устраняет баг, но половина функции оказывается переписанной. Появляется новая вспомогательная функция. Совершенно логичное имя переменной меняется на другое. Добавляется новая валидация ввода. И diff из-за этого становится огромным.
Я называю это проблемой избыточной редактуры: модели склонны переписывать код, не нуждающийся в переписывании. На самом деле, это важнее, чем может показаться. При разработке узким местом всегда становится ревью кода: ревьюерам нужно понять, что и почему поменялось, а также безопасно ли изменение. Модель, переписывающая целые функции, пусть даже корректно, существенно усложняет эту работу, потому что код теперь выглядит совершенно иначе.
В своём посте я исследую эту проблему: имеют ли современные LLM склонность к избыточной редактуре и можем ли мы обучить модели редактировать код в должной мере?
Избыточная редактура
range(len(x) - 1) на range(len(x)).Под избыточной редактурой я подразумеваю изменение моделью кода, объёмы которого превышают необходимые для решения текущей проблемы. Строго говоря, модель выполняет избыточную редактуру, если результат её работы функционально корректен, но структурно расходится с изначальным кодом больше, чем это нужно для минимального исправления.
Это хорошо иллюстрирует пример с Рисунка 1. Баг заключается в ошибке смещения на единицу в вызове range() (range(len(x) - 1) должно выглядеть как range(len(x))), и правильным исправлением была бы одна строка. В своём ответе GPT-5.4 (с высокой степенью рассуждений) переписывает функцию целиком: она добавляет проверки на None, преобразования np.asarray с dtype=float, маскирование конечных значений, валидирует размеры массивов, меняет сигнатуру вызова curve_fit и полностью меняет логику построения графиков. Хоть её вывод и проходит тесты, diff получается огромным, но ни об одном из этих добавлений пользователь не просил, да они и необязательны.
Стоит подходить к этому с точки зрения типа выполняемой работы. В общих чертах разработку ПО можно разделить на два режима: создание с нуля и доработку (работу с уже имеющейся кодовой базой). Во втором случае существующий код уже понятен команде, и его намеренно писали в том виде, в котором он сейчас есть. Задача модели — устранить проблему и ничего сверх того.
При работе с ИИ-инструментами кодинга часто рекомендуют просто писать больше тестов, потому что если тест проходит, то код верный. Однако избыточная редактура при работе с уже существующей кодовой базой, в отличие от некорректности кода, невидима для наборов тестов. Когда модели генерируют новый код, разработчикам приходится выполнять больший объём ревью, а избыточная редактура усложняет эту задачу. Им приходится парсить более сложную логику и читать больше кода; при этом повышается вероятность незаметной деградации качества всей кодовой базы.
Как измерять степень избыточной редактуры
Для изучения избыточной редактуры нам сначала понадобится датасет изменений в коде, где конкретно определено «эталонное изменение» с конкретной степенью «минимальности». Вместо того, чтобы использовать другую LLM для добавления багов (как поступает большинство существующих бенчмарков), мы программным образом поломаем 400 задач из BigCodeBench, что позволит нам обеспечивать более точный контроль: например, поменяем оператор сравнения (< → <=), заменим + на - или изменим булевы значения (True → False)1. Каждый повреждённый образец остаётся синтаксически валидным, но точно не проходит соответствующие тестовые случаи. Это гарантирует, что эталонное изменение будет заключаться ровно в откате этой поломки; таким образом, это изменение минимально по построению. Тогда мы сможем оценить не только то, устранила ли модель баг, но и то, какой объём другого кода она изменит в процессе этого.
Метрики
Большинство бенчмарков кодинга оценивают модели по корректности при помощи той или иной разновидности Pass@1. Однако Pass@1 необходим, но недостаточен. Модель может получить идеальную оценку по Pass@1, при этом полностью переписав все затронутые ею функции. Для этого эксперимента нам нужны метрики, отражающие объём кода, изменённого моделью сверх необходимого.
Расстояние Левенштейна на уровне токенов. В отличие от стандартного расстояния Левенштейна, подсчитывающего минимальное количество вставок, удалений и замен символов для преобразования одной строки в другую, мы используем вариант его вычислений на Python для уровня токенов. Сначала код проходит через токенизатор Python, разбивающий его на атомарные синтаксические единицы (def, add, (, a, ,, b, ), :, return, a, +, b). Затем расстояние Левенштейна вычисляется для этой последовательности токенов, а не для сырых символов.
Например, рассмотрим следующие две функции:
def add(a, b): def someotherfunctionname(a, b):
return a + b return a + b
Расстояние Левенштейна на уровне символов вернёт результат 19. На уровне токенов результат будет равен 1, потому что someotherfunctionname становится одним токеном. Мы выполняем нормализацию по общему количеству токенов, чтобы оценки были сравнимыми для функций разной длины.
Кроме того, вместо простого сравнения вывода модели с эталоном мы сравним то и другое с повреждёнными входными данными. Пусть будет испорченным решением,
— эталоном, а
— выводом модели. Истинное минимальное изменение (просто откат внесённой ошибки) равно
, а изменение модели
, что даст нам относительную оценку патча:
Близкие к нулю значения обозначают, что патч модели напоминает истинное минимальное исправление. Мы можем интерпретировать исходное неиспорченное решение, как наилучшее возможное изменение испорченного решения, вычислить оценки для этого наилучшего возможного патча, а затем сравнить их с выводом модели.
Добавленная когнитивная сложность. Когнитивная сложность (более качественная по сравнению с цикломатической сложностью оценка) измеряет сложность понимания кода. Она штрафует код за вложенность, рекурсию, смешанные логические операции и неочевидный поток управления. Например, одну строку кода без ветвлений гораздо проще читать, чем код, требующий от читающего хранить состояние, скажем, if, цикл или try/except. Вот пример:
def process(items):
result = []
for item in items: # +1
if item > 0: # +2 (штраф за вложенность: внутри цикла)
if item % 2 == 0: # +3 (штраф за вложенность: двухуровневая глубина)
result.append(item)
return result
# Когнитивная сложность: 6
Так как все наши поломки меняют значения, а не структуру, правильное исправление всегда будет добавлять ноль когнитивной сложности. Любое увеличение объёма вывода модели появляется без желания пользователя. Мы определяем абсолютную разность между выводом модели и оригиналом, которая должна быть нулевой для истинного минимального изменения. Значения ниже 0 тоже нежелательны, потому что необязательное упрощение кода неприемлемо.
Вносят ли модели избыточную редактуру?
Да, даже самые передовые.
|
Модель |
Pass@1 ↑ |
Нормализованное расстояние Левенштейна ↓ |
Добавленная когнитивная сложность ↓ |
|---|---|---|---|
|
Модели с рассуждениями |
|||
|
GPT-5.4 |
0.723 |
0.395 |
2.313 |
|
Claude Opus 4.6 |
0.912 |
0.060 |
0.200 |
|
Gemini 3.1 Pro Preview |
0.858 |
0.145 |
0.501 |
|
GLM 5 High |
0.859 |
0.099 |
0.320 |
|
Qwen 3.6 Plus |
0.858 |
0.145 |
0.048 |
|
Kimi 2.5 |
0.835 |
0.151 |
0.770 |
|
DeepSeek R1 |
0.820 |
0.232 |
0.673 |
|
DeepSeek Chat V3.1 |
0.795 |
0.232 |
0.694 |
|
GPT-5 High |
0.713 |
0.438 |
3.832 |
|
Модели без рассуждений |
|||
|
GPT-5.4 |
0.770 |
0.327 |
1.563 |
|
Claude Opus 4.6 |
0.900 |
0.079 |
0.313 |
|
Gemini 3.1 Pro Preview |
0.860 |
0.129 |
0.358 |
|
GLM 5 |
0.840 |
0.097 |
0.235 |
|
Qwen 3.6 Plus |
0.870 |
0.106 |
0.605 |
|
Kimi 2.5 |
0.770 |
0.140 |
0.687 |
|
DeepSeek V3 |
0.800 |
0.201 |
0.803 |
|
DeepSeek Chat V3.1 |
0.802 |
0.235 |
1.223 |
|
GPT-5 Minimal |
0.738 |
0.397 |
2.877 |
Таблица 1: Сравнение результатов рассуждающих и не рассуждающих моделей. Модели, встречающиеся в обоих разделах — гибридные. Наилучшие оценки каждой метрики выделены полужирным шрифтом.
Среди новых передовых моделей больше остальных склонна к избыточной редактуре GPT-5.4. Она имеет расстояние Левенштейна 0,39 в режиме рассуждений и 0,33 в режиме без рассуждений; её добавленная когнитивная сложность равна, соответственно, 2,31 и 1,56. Несмотря на это, её Pass@1 равен всего 0,723 и 0,770, из-за чего она одна из худших по корректности. Claude Opus 4.6 достигает наибольшего Pass@1 среди всех протестированных моделей (0,912 с рассуждениями, 0,900 без рассуждений), при этом обеспечивая наименьшие diff с расстояниями Левенштейна 0,06 и 0,08, добавленной когнитивной сложностью 0,20 и 0,31. Gemini 3.1 Pro Preview находится в похожей ситуации, а GLM 5, похоже, самая консервативная из моделей с открытыми весами.
Помогает ли промптинг?
Во многих научных статьях, утверждающих о нахождении нового режима отказа LLM, не выполняется предварительное тестирование того, может ли модель выполнить задачу, если её попросить напрямую. Поведение, кажущееся невозможным при одной схеме, может оказаться легко реализуемым при явном промпте, поэтому я исследовал влияние добавления в промпт инструкции «IMPORTANT: Try to preserve the original code and the logic of the original code as much as possible» («ВАЖНО: Старайся максимально сохранять оригинал кода и логику оригинала кода»).
При явном промптинге все модели улучшают показатели и снижают расстояние Левенштейна, и улучшают свой Pass@1 (за исключением DeepSeek R1/v3). Можно интерпретировать это так, что, ограничивая модель внесением минимальных изменений, мы непреднамеренно сужаем пространство поиска возможных исправлений, направляя модели в сторону точных нацеленных изменений, которые будут правильными с наибольшей вероятностью. Влияние на расстояние Левенштейна наиболее выражено в моделях с рассуждениями; вероятно, это результат того, что они умеют строже придерживаться инструкций.
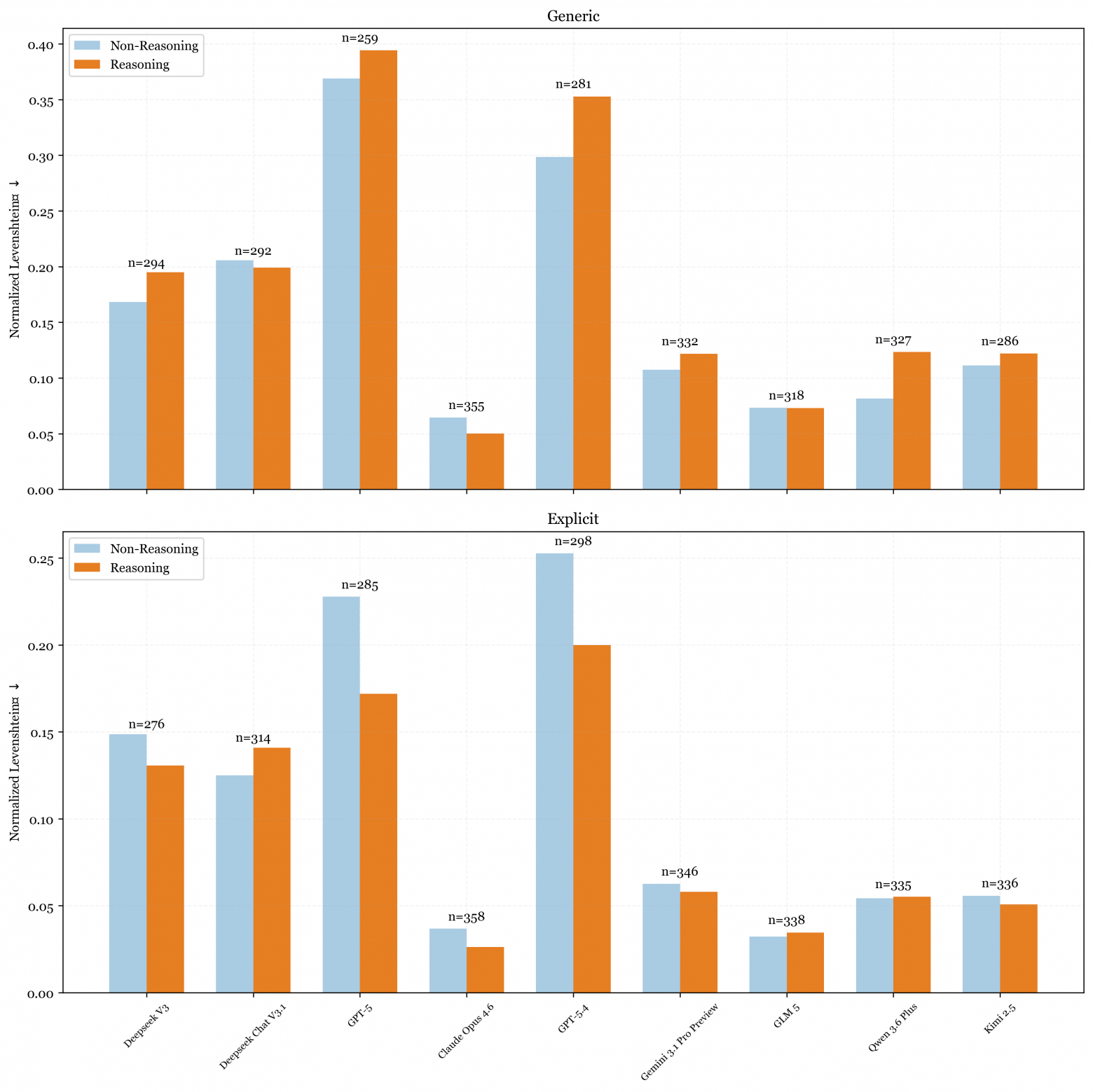
Приводят ли рассуждения к чрезмерным размышлениям и избыточной редактуре?
В общем случае считается, что модели с рассуждениями лучше справляются с задачами кодинга, и они действительно имеют более высокие оценки в Pass@1. Но поскольку нам любопытен стиль этих изменений, нужно взглянуть на результаты под другим углом.
На Рисунке 3 модели сгруппированы в пары, каждая из которых содержит модель с рассуждениями и без них из одного и того же семейства. Для каждой пары мы создаём график расстояния Левенштейна только для тех образцов, в которых обе модели получили правильный ответ. Это позволяет нам изолировать минимальность изменений от корректности, поскольку чаще ошибающаяся модель имеет меньше образцов для избыточной редактуры, что могло бы привести к перекосу сравнений.
В общем случае (верхняя часть Рисунка 3) модели с рассуждениями больше склонны к избыточной редактуре, чем модели без рассуждений. У DeepSeek V3, GPT-5, GPT-5.4, Gemini 3.1 Pro Preview, Qwen 3.6 Plus и Kimi 2.5 столбец модели с рассуждениями выше. Похоже, модели с рассуждениями естественным образом выполняют более сложное переписывание, при котором модель рассуждениями приходит к «лучшей» реализации, чем минимальное исправление. Примечательным исключением стал Claude Opus 4.6, у которого модель с рассуждениями редактирует существенно меньше.
В ситуации с явным промптом (нижняя часть) картина существенно меняется. Когда моделям чётко приказывают сохранить оригинальный код, у моделей с рассуждениями расстояние Левенштейна существенно меньше, чем у моделей без, они сравнимы или лучше них почти в каждой паре. Расстояния Левенштейна Claude Opus 4.6 (с рассуждениями) упали ниже, чем у всех других моделей в этой ситуации. У GPT-5 и GPT-5.4 с рассуждениями столбцы снизились, однако GPT-5.4 без рассуждений всё равно чуть-чуть их лучше.
Следовательно, можно сделать вывод, что по умолчанию большинство моделей с рассуждениями склонно к избыточной редактуре. Если не поставить перед ними ограничений, расширенные рассуждения дают моделям больше пространства для «улучшения» кода, не требующего улучшений. Но та же способность к рассуждениям позволяет им лучше соблюдать ограничения, если они заданы. Разница между общим случаем и явным указанием промпта для моделей с рассуждениями существенно больше; из этого можно сделать вывод, что избыточная редактура — не фундаментальная особенность, а поведение по умолчанию, которое можно изменить.
Обучение
Естественным образом возникает следующий вопрос: можно ли обучить модели, чтобы они были более точными редакторами? В этом эксперименте я в качестве базовой модели взял Qwen3 4B 2507 Instruct. В качестве отправной точки я использовал вместе промптинг 0-shot и 8-shot, в явном виде приказав сохранять оригинальный код. Во всех остальных методиках во время оценки использовался общий случай без явных инструкций в промпте.
Схема
Сначала я при помощи описанного выше подхода создал синтетический датасет испорченных задач из DeepCoder. В дополнение к этому программно сгенерированному датасету я при помощи модели Qwen3 4B 2507 Instruct создал синтетический датасет путём самодистилляции. Я попросил модель в промпте сгенерировать по 8 завершений на задачу, оставив только функционально корректные образцы и ранжировав их по расстоянию Левенштейна. Затем модель была обучена без явных инструкций, аналогично Context Distillation.
Мы оценили четыре методики:
-
SFT: fine-tuning с учителем на программно сгенерированном датасете.
-
rSFT: Rejection-sampled SFT, при котором мы обучали наши завершения с тремя наименьшими расстояниями Левенштейна на каждый образец из датасета самодистилляции.
-
DPO: оптимизация предпочтений между завершениями с наибольшим и наименьшим расстоянием Левенштейна для каждого примера из набора данных само-дистилляции.
-
RL: обучение с подкреплением с вознаграждением, объединяющим в себе функциональную корректность и минимальность правок на основе расстояния Левенштейна. Структура вознаграждения представляет собой взвешенную сумму расстояния Левенштейна и штрафа за непрохождение тестовых случаев.:
r = r_edit + 0.1 # если генерация проходит все тестовые случаи
r = -0.2 # в противном случае
# r_edit - нормализованное вознаграждение на основании расстояния Левенштейна
Сработало ли это?
|
Модель |
Pass@1 ↑ |
Нормализованное расстояние Левенштейна ↓ |
Добавленная когнитивная сложность ↓ |
|---|---|---|---|
|
Базовая (0-shot) |
0.735 |
0.169 |
0.731 |
|
Базовая (8-shot) |
0.775 |
0.115 |
0.479 |
|
SFT |
0.932 |
0.002 |
0.000 |
|
rSFT |
0.782 |
0.100 |
0.435 |
|
DPO |
0.752 |
0.021 |
0.113 |
|
RL |
0.802 |
0.046 |
0.112 |
Таблица 2: Сравнение результатов различных методик fine-tuning при обучении на данных предметной области: обучающий и тестовый датасеты содержат одни и те же типы испорченного кода.
При первой попытке подозрительно хорошо проявил себя SFT: получившаяся модель как будто идеально научилась задаче. Мне показалось это крайне удивительным; моя первая гипотеза заключалась в том, что модель просто запоминала состояние, обратное этому датасету испорченных решений, а не обучалась общему поведению минимального редактирования. В результате этого я пересоздал синтетические датасеты, но для проверки модели на обобщённость использовал датасет испорченных решений, полностью отличающейся от оценочного датасета. Базовая гипотеза заключалась в том, что модель просто обучилась обращать определённый набор действий.
Обобщается ли эта задача?
|
Модель |
Pass@1 ↑ |
Нормализованное расстояние Левенштейна ↓ |
Добавленная когнитивная сложность ↓ |
Изменение LiveCodeBench ↓ |
|---|---|---|---|---|
|
Базовая (0-shot) |
0.735 |
0.169 |
0.731 |
— |
|
Базовая (8-shot) |
0.775 |
0.115 |
0.479 |
— |
|
SFT |
0.458 |
−0.008 |
0.006 |
−0.149 |
|
rSFT |
0.780 |
0.107 |
0.501 |
−0.069 |
|
DPO |
0.787 |
0.092 |
0.348 |
−0.046 |
|
RL |
0.782 |
0.050 |
0.185 |
+0.006 |
Таблица 3: Сравнение результатов разных методик fine-tuning при обучении на данных вне предметной области: в обучающем и тестовом датасете содержатся разные типы порчи кода.
Вне предметной области результаты SFT резко ухудшаются. Pass@1 падает до 0,458, потому что модель обучилась вносить конкретные минимальные изменения вне зависимости от того, исправляют ли они что-нибудь. rSFT и DPO лучше, но общее улучшение по сравнению с отправными данными 8-shot незначительное. Это говорит о том, что обучения на данных, извлечённых из самой базовой модели, достаточно, чтобы добиться некоторой степени обобщения. RL — единственная правильно обобщаемая методика, улучшающая все три метрики относительно базовой модели. То, что модель с RL сильнее улучшилась в отношении расстояния Левенштейна и добавленной когнитивной сложности, чем Pass@1 — дополнительное свидетельство того, что она не просто запоминает данные, обратные испорченным, а на самом деле обобщается до минимальной редактуры.
Учитывая неспособность модели с SFT даже устранять баги, мы также захотели взглянуть на показатель катастрофического забывания (Catastrophic Forgetting). В частности, узнать, приводит ли fine-tuning под минимальную редактуру к деградации общие способности к кодингу. Мы проверили все модели с fine-tuning на LiveCodeBench v6 и сравнили результаты с исходной предварительно обученной моделью. В идеале после обучения производительность должна быть схожей.
SFT продемонстрировала деградацию показателей на 43%, что согласуется с нашим предыдущим наблюдением о том, что модель больше не может выявлять и устранять простые баги. Модели с rSFT и DPO подверглись небольшой деградации; это показывает, что несмотря на их обучение на образцах, сгенерированных исходной моделью, сама природа задачи приводит к определённой степени катастрофического забывания. Модель с RL не показала никакой деградации. Если также учесть то, что она лучше всех справляется с задачей, RL способно обучать модель новому поведению, не приводя к деградации обретённых ранее способностей. Это согласуется с прошлыми исследованиями, демонстрирующими, что SFT запоминает, а RL обобщает.
На основании других работ, показавших, что RL имеют перекос в сторону KL-минимальных решений, снижающий забывание, мы интерпретировали эти результаты с точки зрения распределения. В частности, распределение программно сгенерированного датасета сильно отличается от исходного распределения модели. В результате этого распределения модели с SFT сильно изменились, а потому страдают от катастрофического забывания. В случае же rSFT и DPO распределение самодистиллированного датасета более выровнено, а потому меньше влияет на формирование распределения обученной модели. Следовательно, вероятно то, что степень катастрофического забывания пропорциональна разности между исходным распределением модели и распределением обучающих задаче данных.
Дополнительные эксперименты
RL с LoRA: нужен ли нам полный Fine-Tuning?
Учитывая то, что эта задача связана больше не с обучением модели новым знаниям, а с подстройкой её стиля под готовую задачу, мы также захотели исследовать, достаточно ли будет для этого LoRA. Так как базовая модель уже обладает способность редактирования кода и устранения багов, полный fine-tuning может и не потребоваться.
|
Ранг |
Pass@1 ↑ |
Нормализованное расстояние Левенштейна ↓ |
Добавленная когнитивная сложность ↓ |
Дельта LiveCodeBench ↑ |
|---|---|---|---|---|
|
1 |
0.738 |
0.166 |
0.676 |
-0.022 |
|
8 |
0.775 |
0.112 |
0.426 |
-0.022 |
|
16 |
0.805 |
0.087 |
0.328 |
-0.005 |
|
32 |
0.795 |
0.065 |
0.235 |
-0.011 |
|
64 |
0.797 |
0.051 |
0.160 |
+0.001 |
|
Полное RL (лучшее) |
0.782 |
0.050 |
0.185 |
+0.006 |
Таблица 4: Сравнение показателей разных рангов LoRA.
Результаты подтверждают эту гипотезу. LoRA при ранге 64 почти соответствует RL по расстоянию Левенштейна и превосходит его по добавленной когнитивной сложности. Показатели LiveCodeBench немного снижаются при малых рангах, но ранг 64 практически плоский, а полное RL в целом остаётся лучшим. С увеличением ранга наблюдается чёткий монотонный тренд: расстояние Левенштейна и добавленная когнитивная сложность стабильно снижаются с ранга 1 по ранг 64. Впрочем, скорость улучшений не равномерна; наибольшее снижение происходит на ранних этапах. Наибольший вклад в снижение расстояния Левенштейна вносят ранги с 1 по 16 (0,166 → 0,087), а ранги с 16 по 64 уменьшают оставшийся разрыв более плавно (0,087 → 0,051). Кроме того, на рангах с 1 по 8 происходит снижение корректности в обмен на минимальность редактуры; это может быть объяснено недостатком способности обучаться обеим функциям вознаграждения; происходит перекос модели в сторону минимальности редактуры, обеспечивающей большее вознаграждение.
Это согласуется с идеей о том, что малого количества дополнительных параметров достаточно для сдвига поведения редактирования модели, а дополнительные способности выше определённой точки обеспечивают уменьшающийся эффект. В случае поведенческих изменений на уровне стиля, когда базовая способность уже присутствует, вероятно, будет достаточно LoRA, выполнение которого существенно дешевле.
Примечание о хакинге вознаграждений
В исходной версии функции вознаграждения присутствовал баг, из-за которого выполнения, не завершившиеся успешно, получали жёстко заданное вознаграждение, равное 0. Это оказывалось более высоким вознаграждением, чем при успешных выполнениях, так как у расстояний Левенштейна менялся знак, чтобы значение было «чем больше, тем лучше». Мне показалось интересным, что даже при этом баге в функции вознаграждения полное RL всё равно оказалось способным обучиться задаче. Модель не смогла обучиться ей только с LoRA, предположительно из-за хакинга вознаграждений, обучившись никогда не возвращать функционально корректный код, что заставило нас исследовать окружение. После исправления функции вознаграждения результаты полного RL улучшились лишь ненамного.
Масштабируется ли этот подход?
Для валидации результатов с моделями большего размера я применил ту же схему RL, использовав данные вне предметной области в модели Qwen3 14B. Даже при большем количестве параметров все показатели улучшаются: повышается Pass@1, снижается расстояние Левенштейна, снижается добавленная когнитивная сложность и отсутствуют признаки катастрофического забывания. Это даёт мне уверенность в том, что такую схему для задачи минимальной редактуры кода можно расширить на различные модели разных масштабов.
|
Модель |
Pass@1 ↑ |
Нормализация расстояния Левенштейна ↓ |
Добавленная когнитивная сложность ↓ |
Дельта LiveCodeBench ↑ |
|---|---|---|---|---|
|
Базовая: 14B |
0.770 |
0.136 |
0.315 |
– |
|
RL |
0.833 |
0.059 |
0.165 |
+0.011 |
Таблица 5: Сравнение показателей RL при обучении Qwen3 14B.
В заключение
Примечание о GPT 5.4 и Opus 4.6
Стоит отметить, что, несмотря на современность модели, GPT 5.4 испытывает трудности с задачей минимальной редактуры, особенно при обобщённой схеме и относительно Opus 4.6. Однако Рисунок 3 демонстрирует, что у неё происходит наибольшее улучшение показателей при явном указании промпта в режиме рассуждений; её опережает только её предшественница GPT 5, из чего можно сделать вывод о сильных способностях следования инструкциям. Для сравнения: Opus 4.6 демонстрирует одни из наименьших улучшений показателей; впрочем, это просто может отражать и так хорошие базовые показатели. Этот паттерн соответствует представлению о том, что хоть GPT 5.4 часто по умолчанию склонна к генерации излишне многословного кода («слопа»), её поведением можно эффективно управлять при помощи промптинга.
Исходя из всего вышесказанного, результаты говорят о том, что избыточная редактура широко распространена и её можно измерить. В то же время, результаты промптинга показывают, что это не исключительно ограничение способностей. Простая инструкция о необходимости сохранения оригинального кода приводит к гораздо более качественной редактуре, особенно у моделей с рассуждениями; это многообещающий признак того, что когда модели наподобие GPT 5.4 редактируют слишком большой объём кода, качество их работы можно повысить.
Кроме того, из результатов обучения можно сделать вывод, что такое поведение можно улучшить. Обучение с подкреплением привело к внесению более качественных изменений без деградации общей способности к кодингу, и эти улучшения воспроизводились в моделях Qwen3 4B и 14B.
Сфера бенчмарков кодинга перешла от оценок простых единичных функций к более агентским парадигмам оценки наподобие SWE-Bench Pro. Относительно них оценка устранений багов в изолированных функциях по-прежнему остаётся довольно компактной задачей, учитывая природу багов.
Но даже при этом, несмотря на преобладание избыточной редактуры во всех современных моделях кодинга, уже долгое время было сложно оценить её численно в реалистичных условиях. Надеюсь, наша работа станет первым шагом к оценке и совершенствованию способности кодинг-моделей к минимальной редактуре, а в конечном итоге и к повышению общего качества генерируемого ИИ кода.
-
Полный список внесённых изменений можно найти в коде.
Автор: PatientZero


